Официальное опубликование правовых актов
ОФИЦИАЛЬНОЕ ОПУБЛИКОВАНИЕ
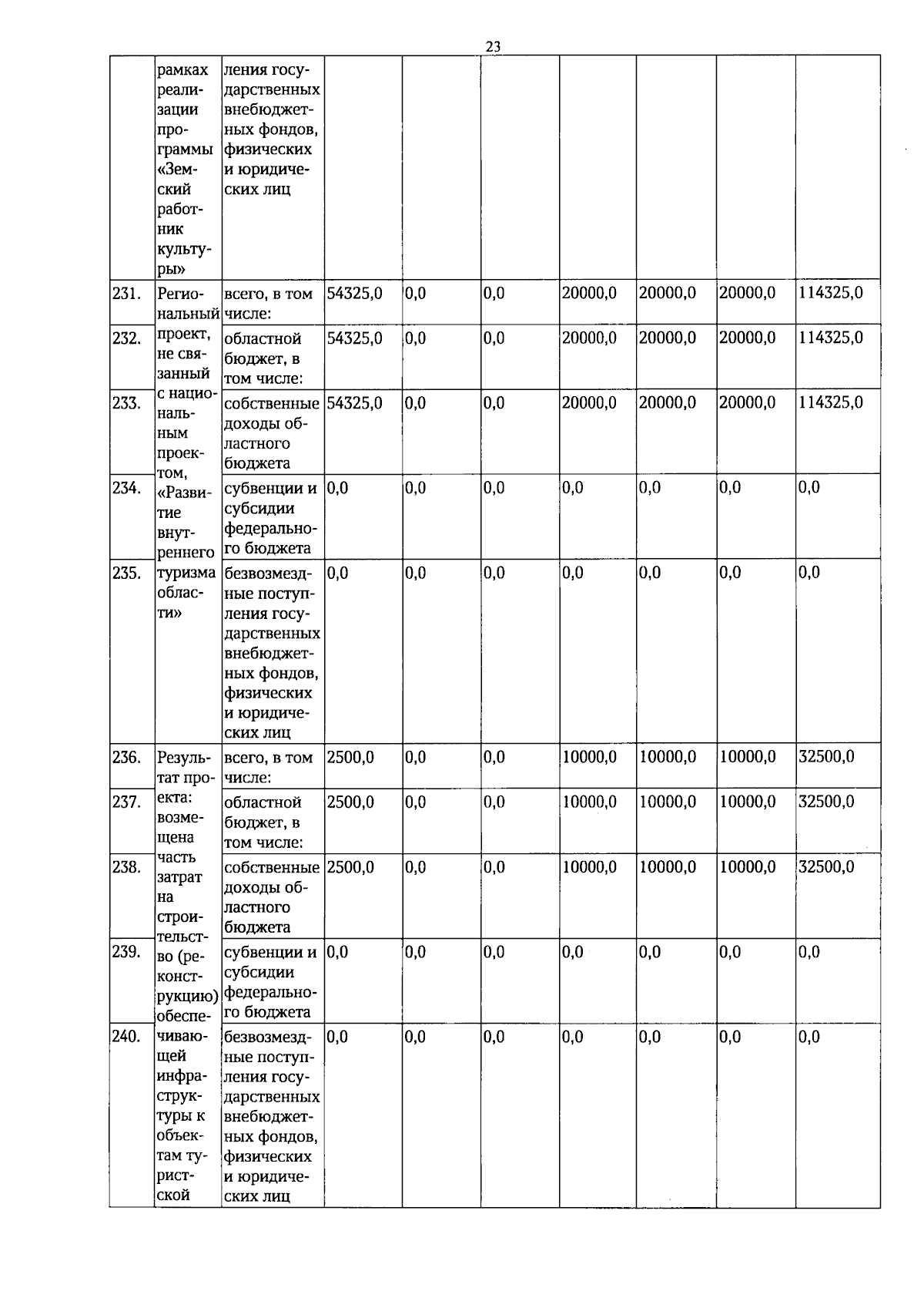
Постановление Правительства Вологодской области от 30.07.2025 № 1083
"О финансовом обеспечении мероприятий и о внесении изменений в некоторые постановления Правительства области"
Номер опубликования: 3500202507300013
Дата опубликования: 30.07.2025
Страница №23 из 38:
Увеличить