Официальное опубликование правовых актов
ОФИЦИАЛЬНОЕ ОПУБЛИКОВАНИЕ
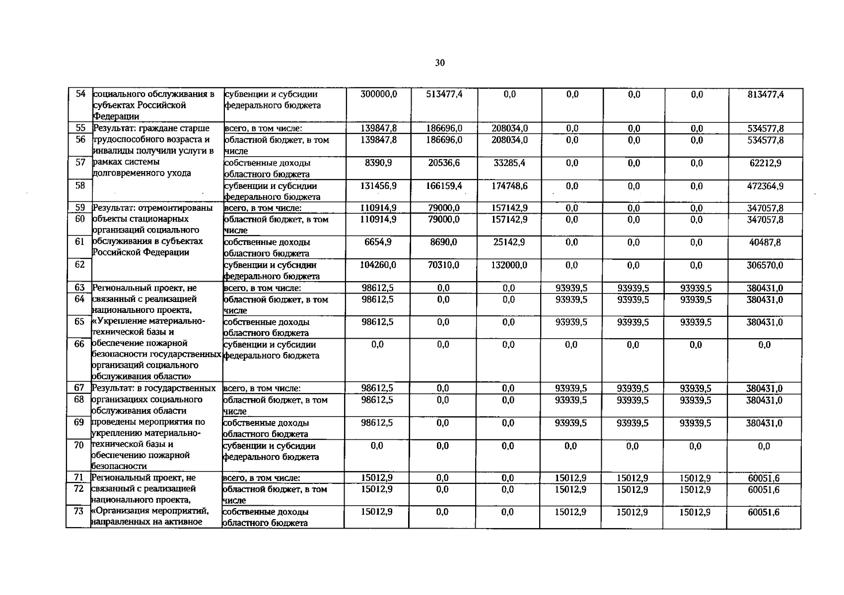
Постановление Правительства Вологодской области от 08.07.2025 № 984
"О внесении изменений в постановление Правительства области от 22 апреля 2019 года № 395"
Номер опубликования: 3500202507090005
Дата опубликования: 09.07.2025
Страница №30 из 97:
Увеличить