Официальное опубликование правовых актов
ОФИЦИАЛЬНОЕ ОПУБЛИКОВАНИЕ
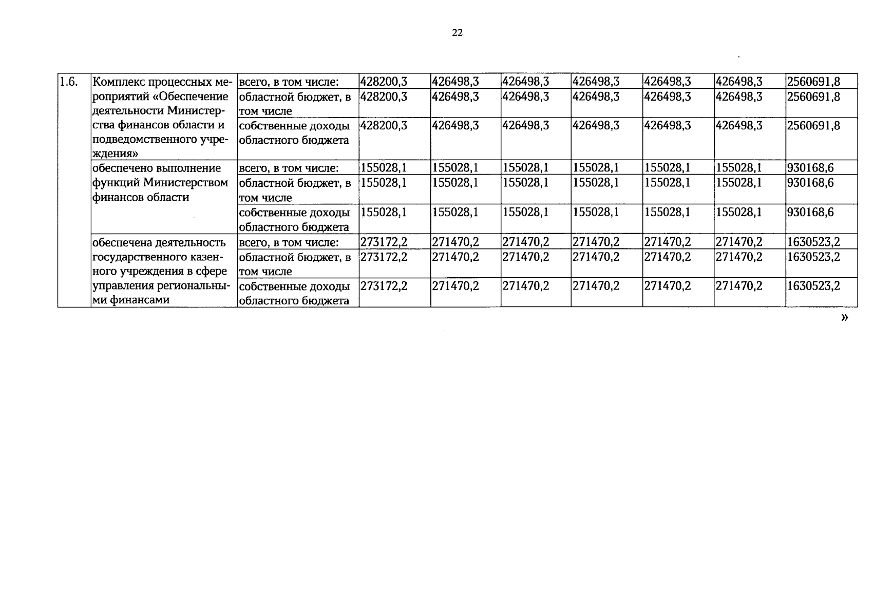
Постановление Правительства Вологодской области от 17.06.2025 № 905
"О внесении изменений в постановление Правительства области от 20 мая 2019 года № 469"
Номер опубликования: 3500202506190006
Дата опубликования: 19.06.2025
Страница №22 из 37:
Увеличить