Официальное опубликование правовых актов
ОФИЦИАЛЬНОЕ ОПУБЛИКОВАНИЕ
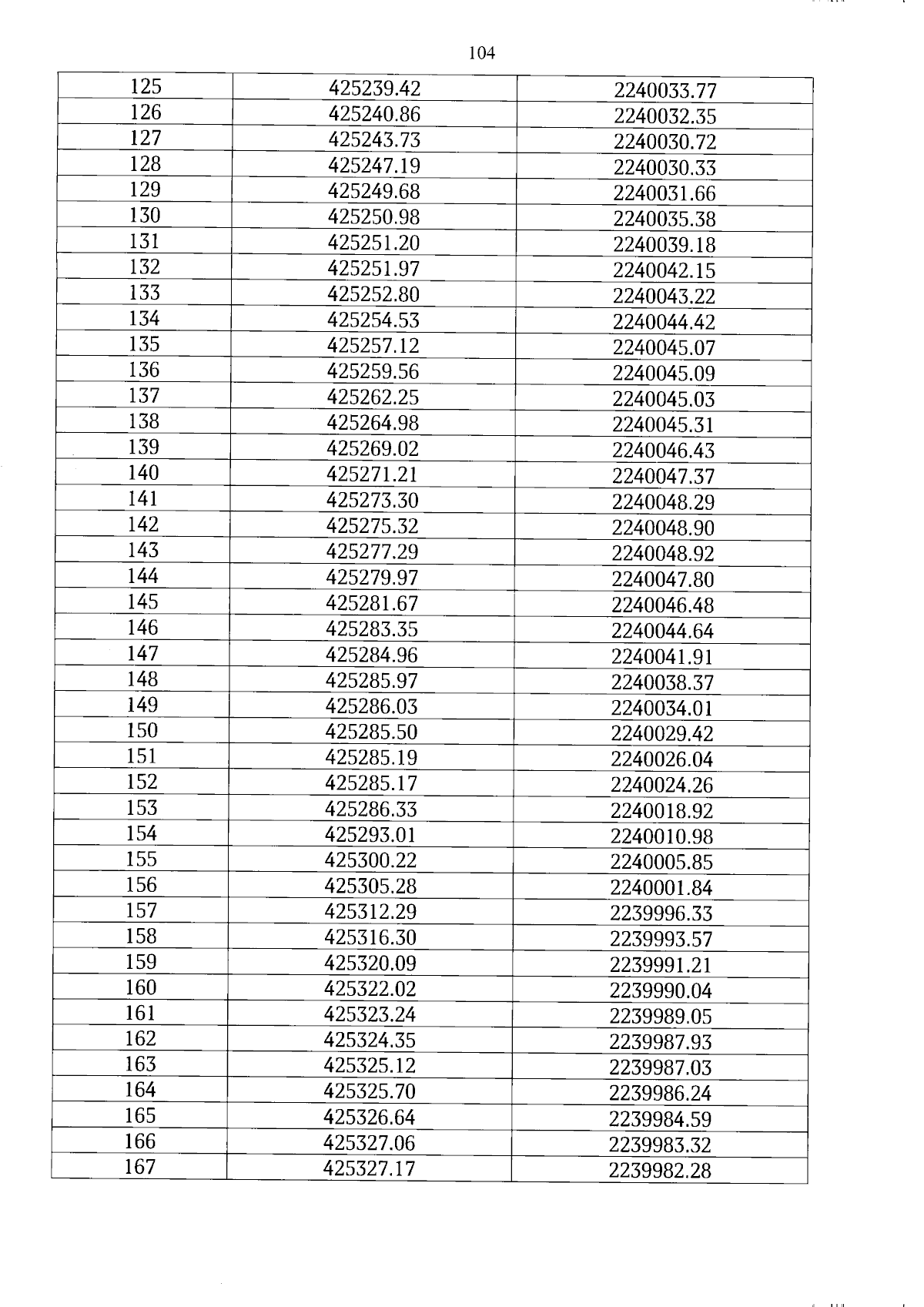
Постановление Правительства Вологодской области от 11.11.2024 № 1335
"Об утверждении границ объединенной зоны охраны объектов культурного наследия, расположенных на территории города Кириллова Вологодской области, режимов использования земель и земельных участков и требований к градостроительным регламентам в границах территории данной зоны"
Номер опубликования: 3500202411150019
Дата опубликования: 15.11.2024
Страница №104 из 281:
Увеличить