Официальное опубликование правовых актов
ОФИЦИАЛЬНОЕ ОПУБЛИКОВАНИЕ
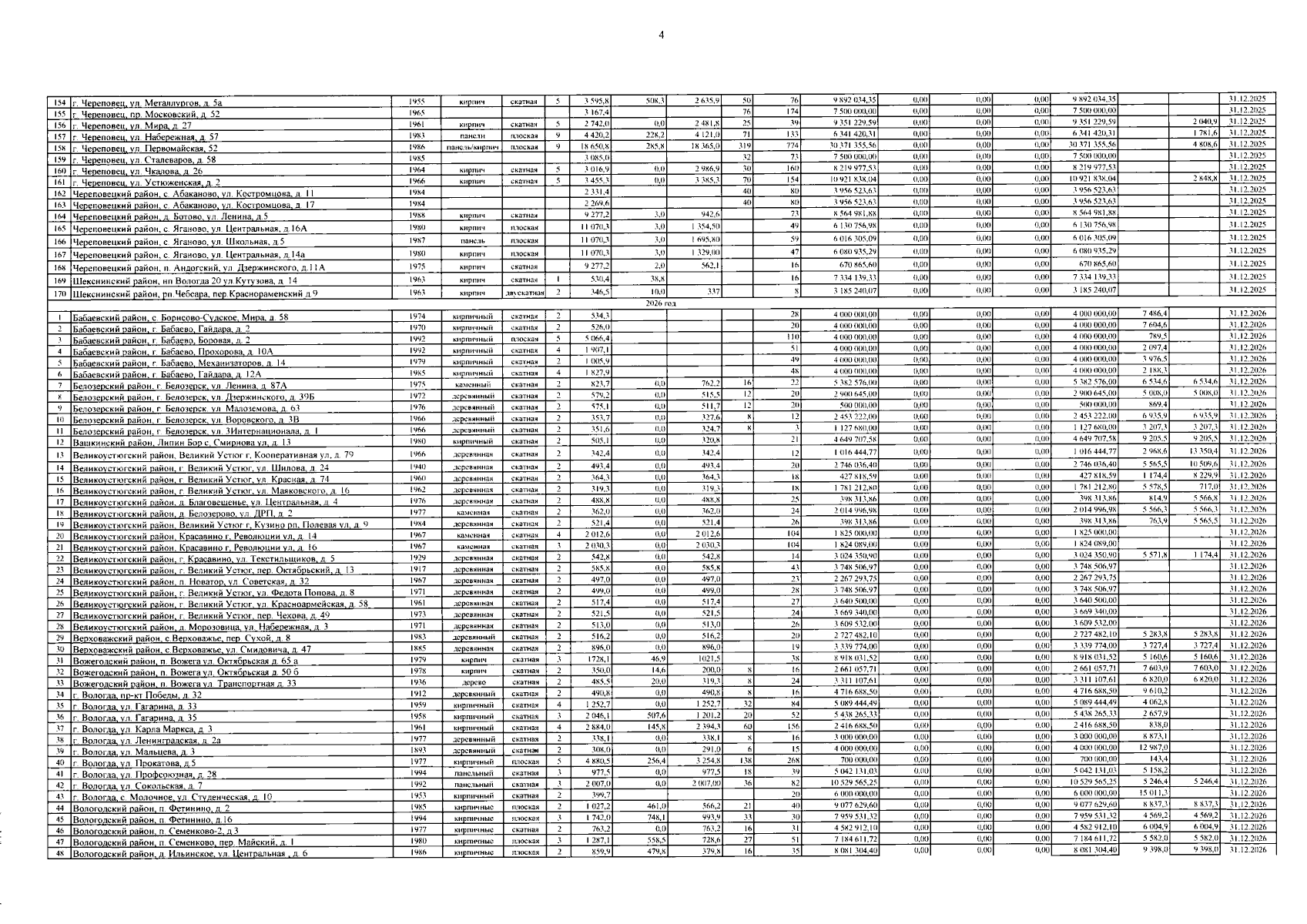
Постановление Правительства Вологодской области от 13.11.2024 № 1355
"О внесении изменения в постановление Правительства области от 6 мая 2024 года № 550"
Номер опубликования: 3500202411150015
Дата опубликования: 15.11.2024
Страница №5 из 24:
Увеличить