Официальное опубликование правовых актов
ОФИЦИАЛЬНОЕ ОПУБЛИКОВАНИЕ
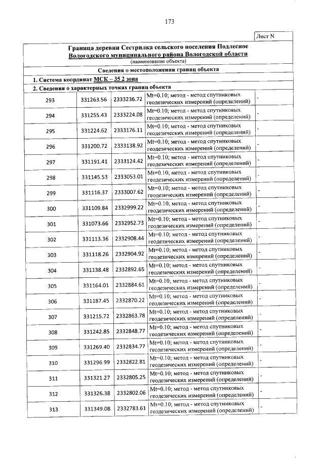
Постановление Правительства Вологодской области от 06.11.2018 № 994
"Об утверждении генерального плана сельского поселения Подлесное Вологодского муниципального района Вологодской области"
Номер опубликования: 3500201811080009
Дата опубликования: 08.11.2018
Страница №173 из 252:
Увеличить