Официальное опубликование правовых актов
ОФИЦИАЛЬНОЕ ОПУБЛИКОВАНИЕ
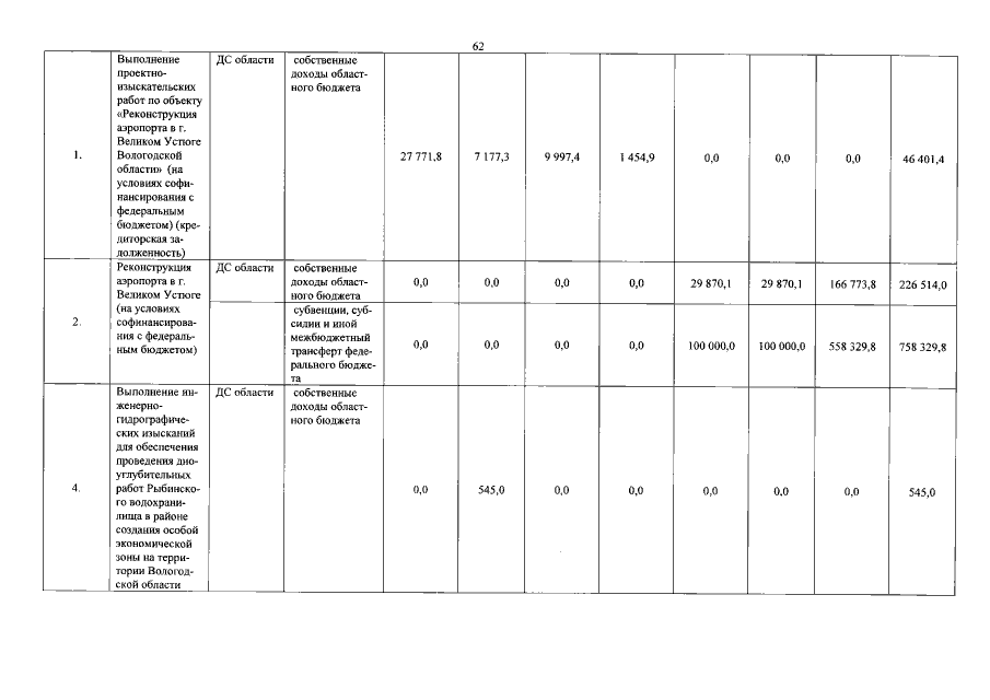
Постановление Правительства Вологодской области от 28.05.2018 № 478
"О внесении изменений в постановление Правительства области от 28 октября 2013 года № 1105"
Номер опубликования: 3500201805300001
Дата опубликования: 30.05.2018
Страница №62 из 84:
Увеличить