Официальное опубликование правовых актов
ОФИЦИАЛЬНОЕ ОПУБЛИКОВАНИЕ
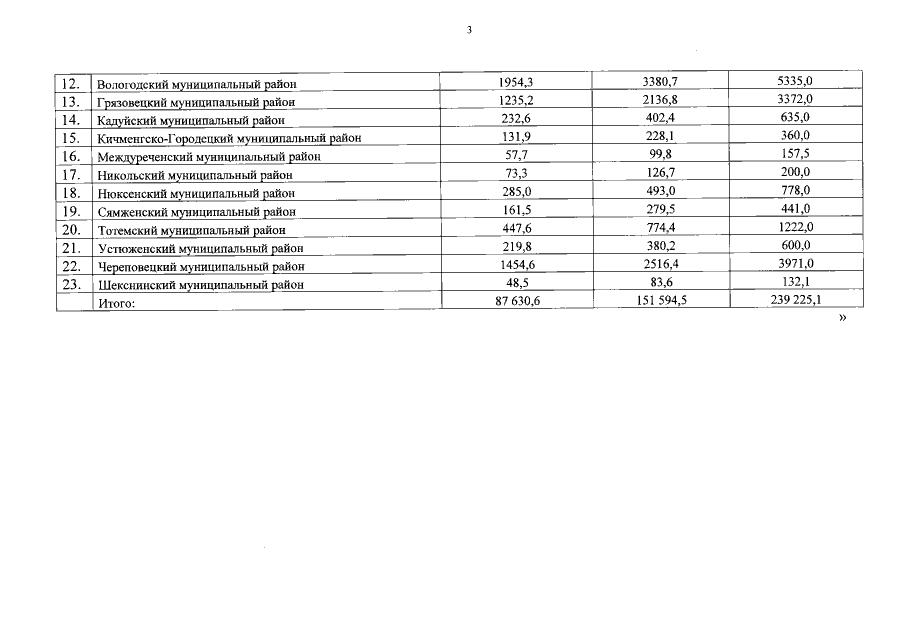
Постановление Правительства Вологодской области от 28.05.2018 № 476
"О внесении изменений в постановление Правительства области от 22 сентября 2017 года № 851"
Номер опубликования: 3500201805290013
Дата опубликования: 29.05.2018
Страница №3 из 6:
Увеличить