Официальное опубликование правовых актов
ОФИЦИАЛЬНОЕ ОПУБЛИКОВАНИЕ
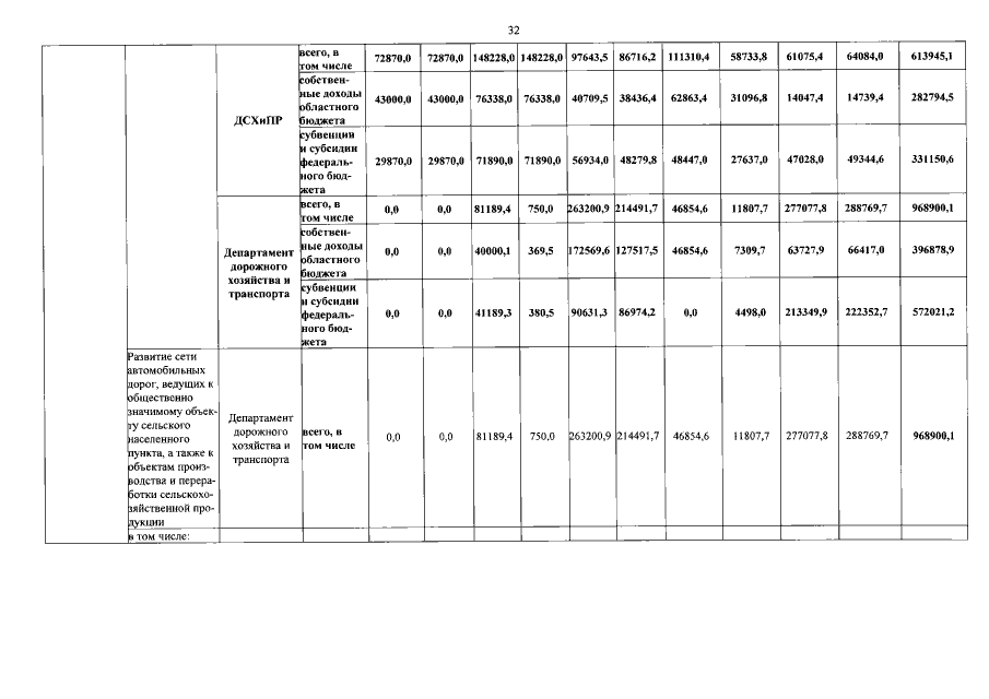
Постановление Правительства Вологодской области от 14.05.2018 № 424
"О внесении изменений в постановление Правительства области от 22 октября 2012 года № 1222"
Номер опубликования: 3500201805150004
Дата опубликования: 15.05.2018
Страница №32 из 37:
Увеличить