Официальное опубликование правовых актов
ОФИЦИАЛЬНОЕ ОПУБЛИКОВАНИЕ
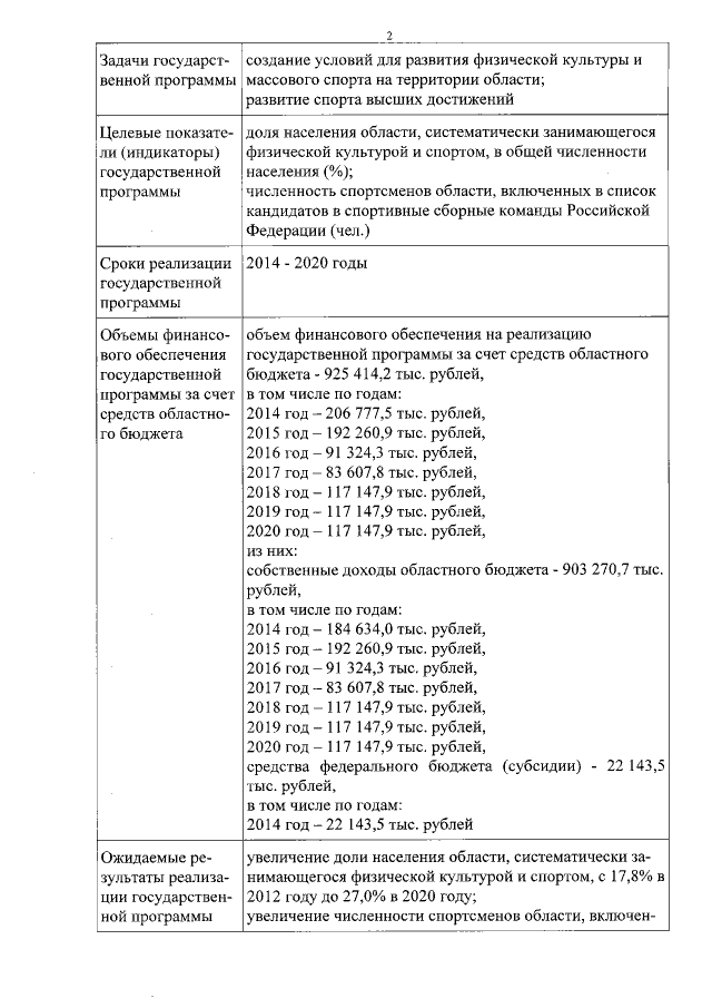
Постановление Правительства Вологодской области от 30.03.2015 № 258
"О внесении изменений в постановление Правительства области от 28 октября 2013 года № 1103"
Номер опубликования: 3500201504010003
Дата опубликования: 01.04.2015
Страница №2 из 62:
Увеличить