Официальное опубликование правовых актов
ОФИЦИАЛЬНОЕ ОПУБЛИКОВАНИЕ
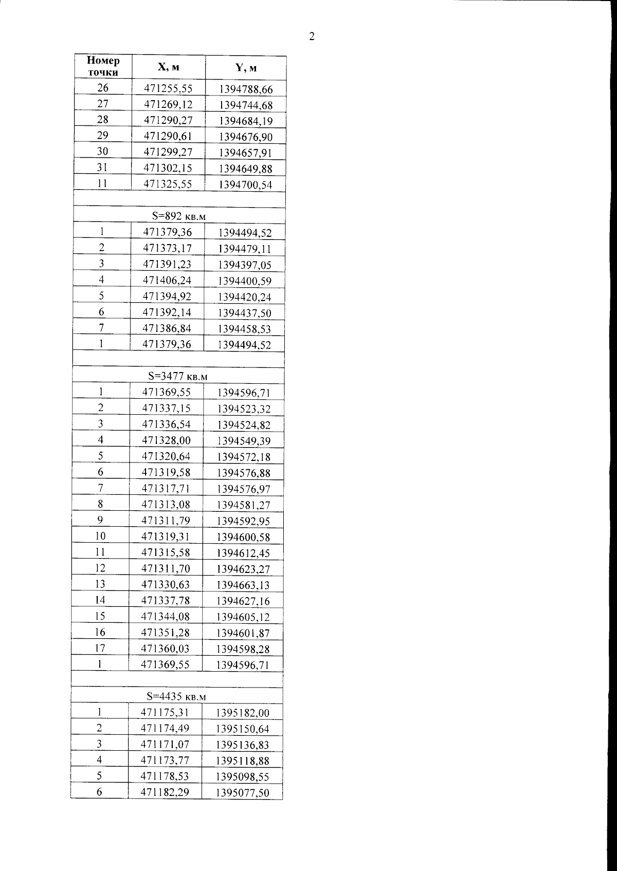
Распоряжение комитета транспорта и дорожного хозяйства Волгоградской области от 03.12.2025 № 251-р
"О резервировании земель для государственных нужд Волгоградской области"
Номер опубликования: 3401202512040005
Дата опубликования: 04.12.2025
Страница №4 из 6:
Увеличить