Официальное опубликование правовых актов
ОФИЦИАЛЬНОЕ ОПУБЛИКОВАНИЕ
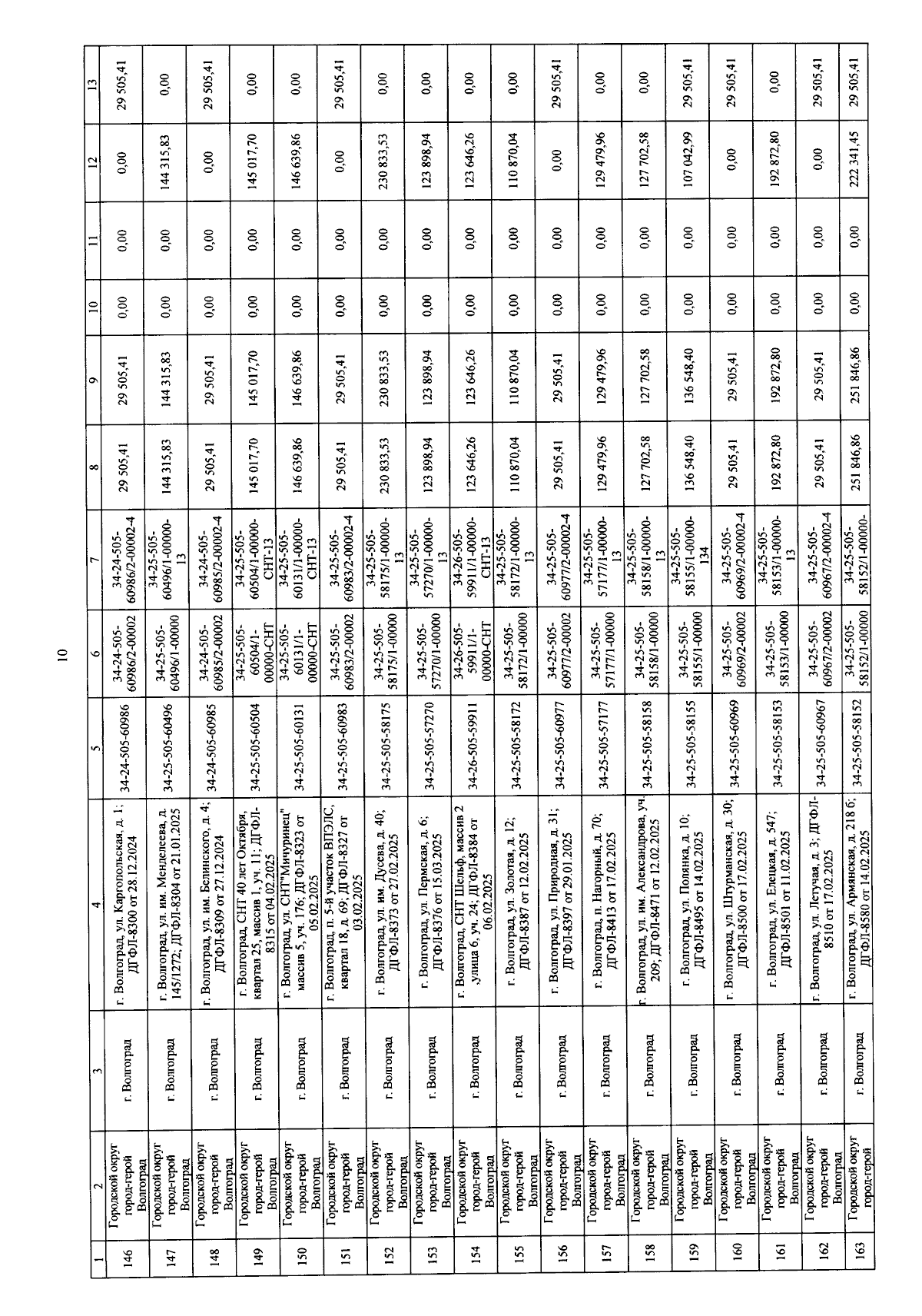
Приказ комитета тарифного регулирования Волгоградской области от 08.10.2025 № 37/2
"Об утверждении размера экономически обоснованных расходов ООО "Газпром газораспределение Волгоград" на выполнение мероприятий по технологическому присоединению в рамках догазификации за 2 квартал 2025 года"
Номер опубликования: 3401202510100005
Дата опубликования: 10.10.2025
Страница №11 из 61:
Увеличить