Официальное опубликование правовых актов
ОФИЦИАЛЬНОЕ ОПУБЛИКОВАНИЕ
Приказ комитета жилищно-коммунального хозяйства Волгоградской области от 27.12.2024 № 140-ОД
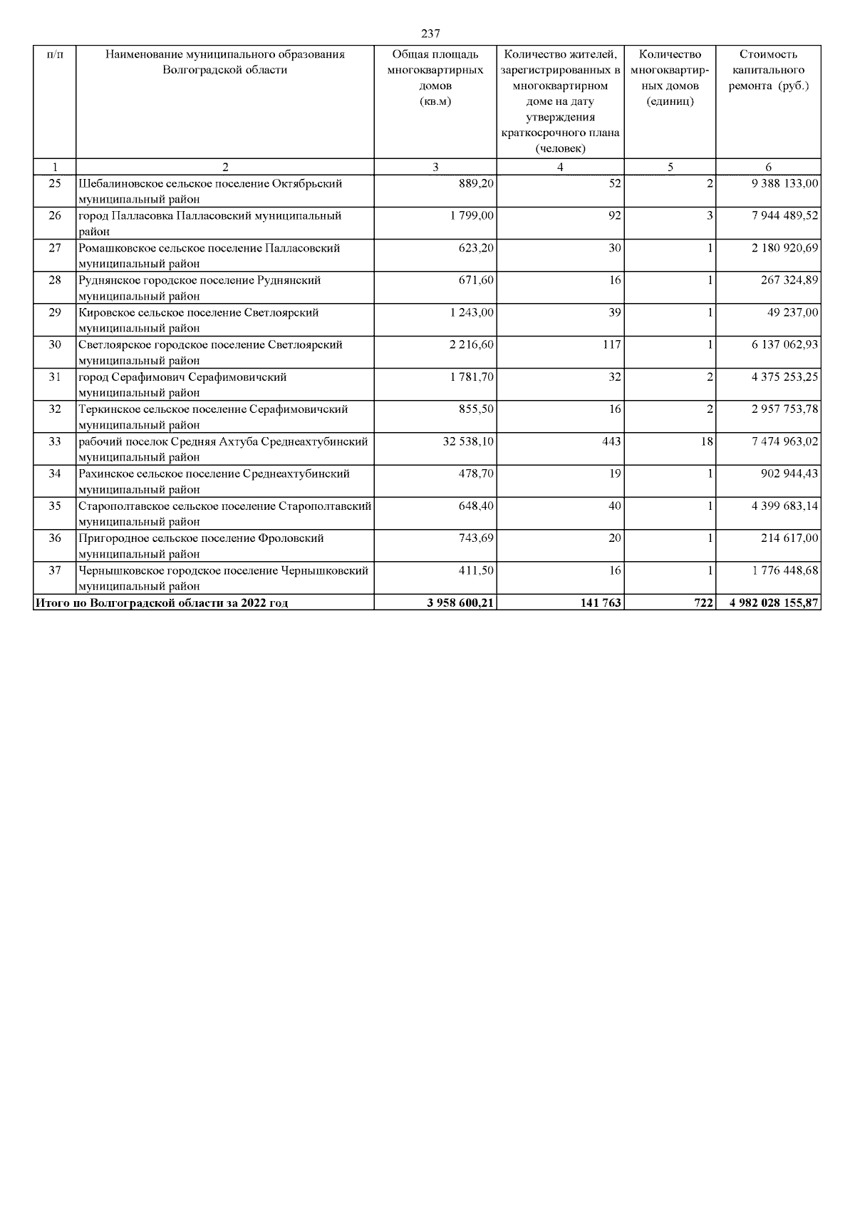
"О внесении изменений в приказ комитета жилищно-коммунального хозяйства и топливно-энергетического комплекса Волгоградской области от 15 апреля 2019 г. № 63-ОД "Об утверждении регионального краткосрочного плана реализации региональной программы "Капитальный ремонт общего имущества в многоквартирных домах, расположенных на территории Волгоградской области", утвержденной постановлением Правительства Волгоградской области от 31.12.2013 № 812-п, на 2020-2022 годы"
Номер опубликования: 3401202412280007
Дата опубликования: 28.12.2024
Страница №238 из 238:
Увеличить