Официальное опубликование правовых актов
ОФИЦИАЛЬНОЕ ОПУБЛИКОВАНИЕ
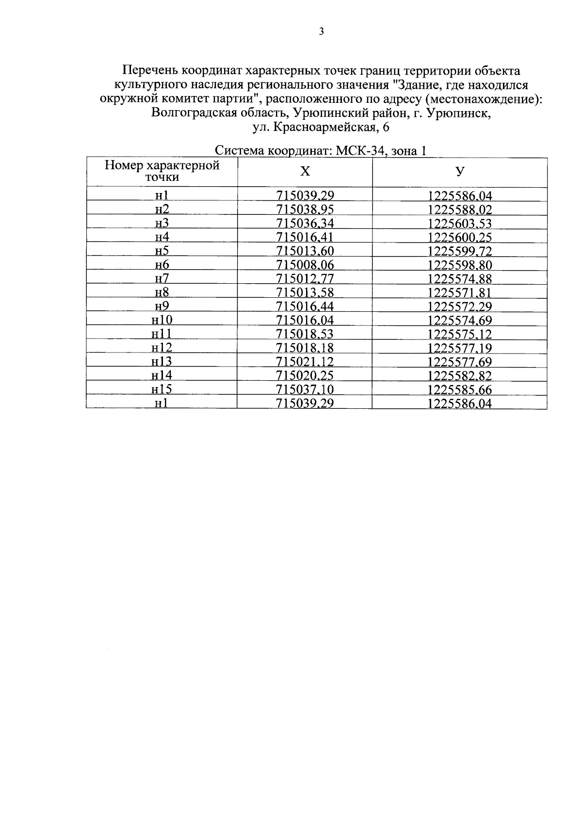
Приказ комитета государственной охраны объектов культурного наследия Волгоградской области от 26.12.2024 № 112-н
"Об утверждении границ и режимов использования территории объектов культурного наследия регионального значения, расположенных на территории городского округа город Урюпинск, городского округа город Фролово, Киквидзенского и Урюпинского районов Волгоградской области"
Номер опубликования: 3401202412270005
Дата опубликования: 27.12.2024
Страница №8 из 30:
Увеличить