Официальное опубликование правовых актов
ОФИЦИАЛЬНОЕ ОПУБЛИКОВАНИЕ
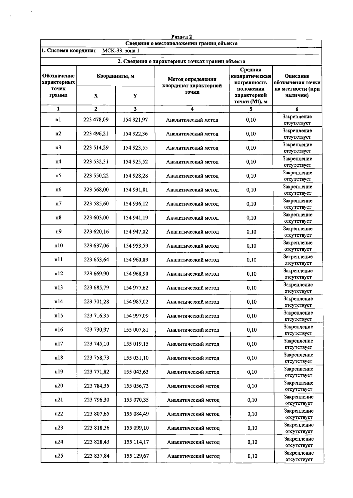
Приказ Министерства природопользования и экологии Владимирской области от 20.04.2026 № 44-н
"Об установлении зон санитарной охраны источников хозяйственно-питьевого и технологического водоснабжения МУП г. Кольчугино "Коммунальник"
(Зарегистрирован 20.04.2026 № МПЭ2026-044)
Номер опубликования: 3301202604200008
Дата опубликования: 20.04.2026
Страница №16 из 46:
Увеличить