Официальное опубликование правовых актов
ОФИЦИАЛЬНОЕ ОПУБЛИКОВАНИЕ
Приказ Министерства лесного хозяйства Владимирской области от 17.04.2026 № 3-н
"О внесении изменений в приложение к приказу Министерства от 25.12.2025 № 28-н"
(Зарегистрирован 17.04.2026 № МЛХ2026-003)
Номер опубликования: 3301202604200001
Дата опубликования: 20.04.2026
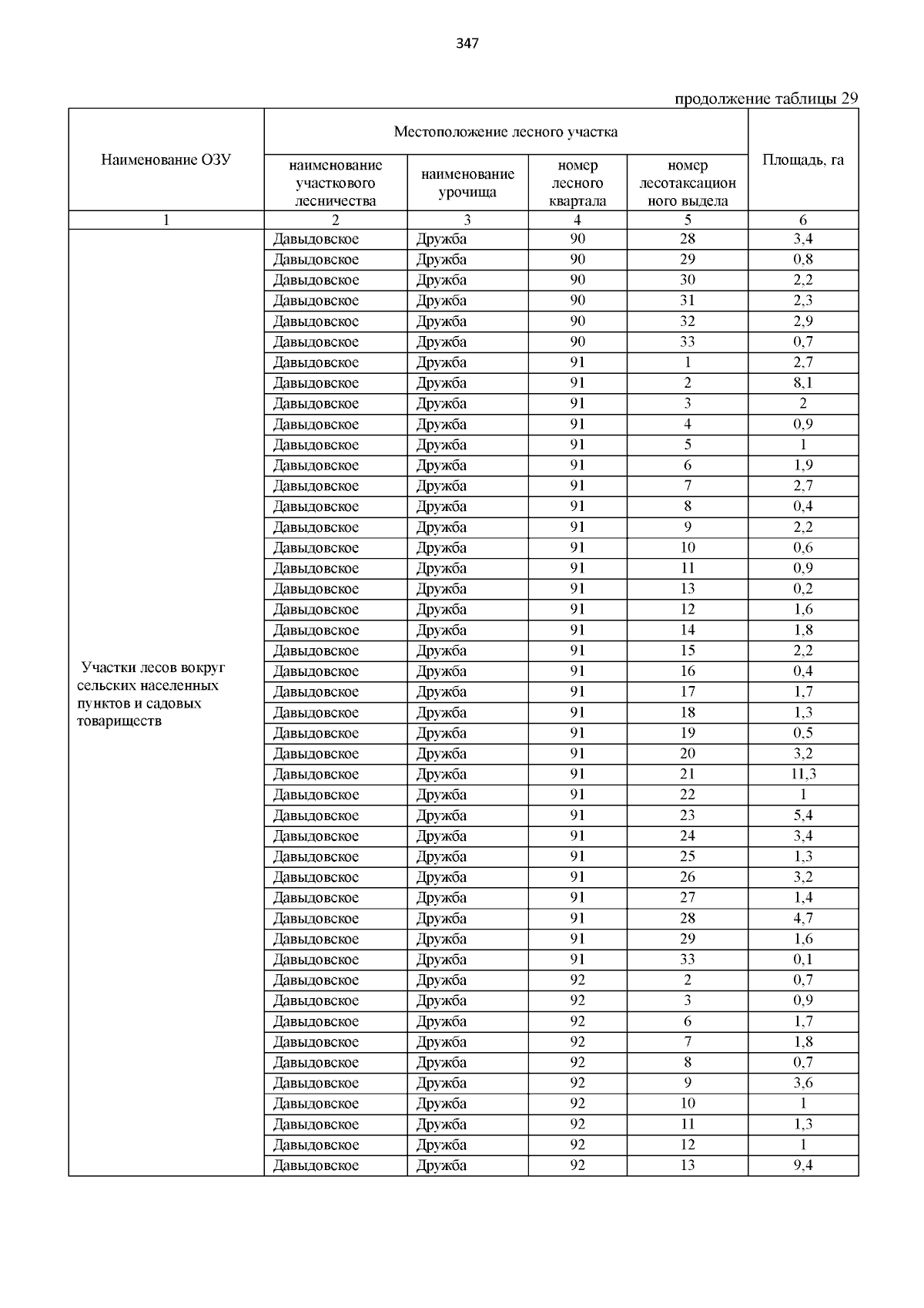
Страница №348 из 422:
Увеличить