Официальное опубликование правовых актов
ОФИЦИАЛЬНОЕ ОПУБЛИКОВАНИЕ
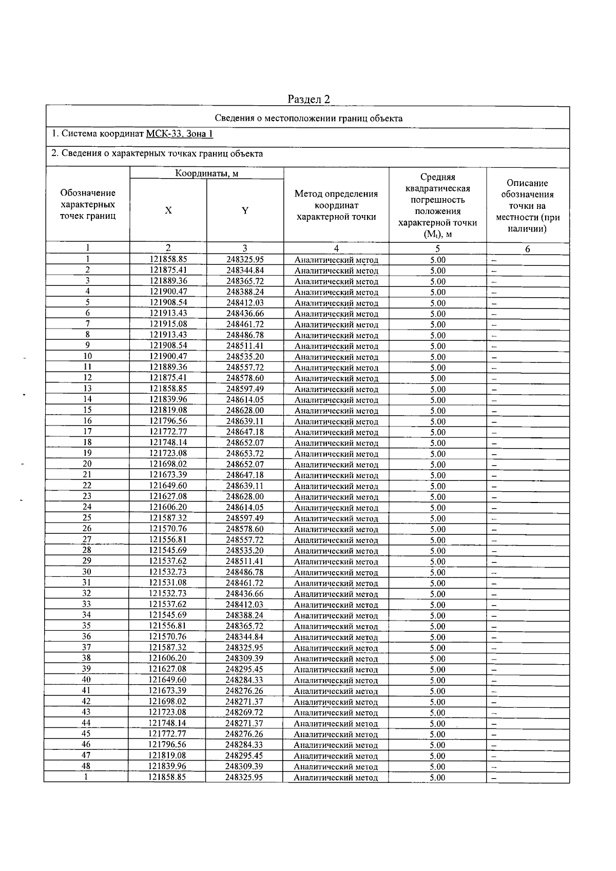
Приказ Министерства природопользования и экологии Владимирской области от 27.02.2026 № 20-н
"Об установлении зон санитарной охраны источников, хозяйственно- питьевого и производственного водоснабжения Горьковской дирекции по тепловодоснабжению – СП ЦДТ – филиал ОАО "РЖД"
(Зарегистрирован 27.02.2026 № МПЭ2026-020)
Номер опубликования: 3301202603020003
Дата опубликования: 02.03.2026
Страница №8 из 28:
Увеличить