Официальное опубликование правовых актов
ОФИЦИАЛЬНОЕ ОПУБЛИКОВАНИЕ
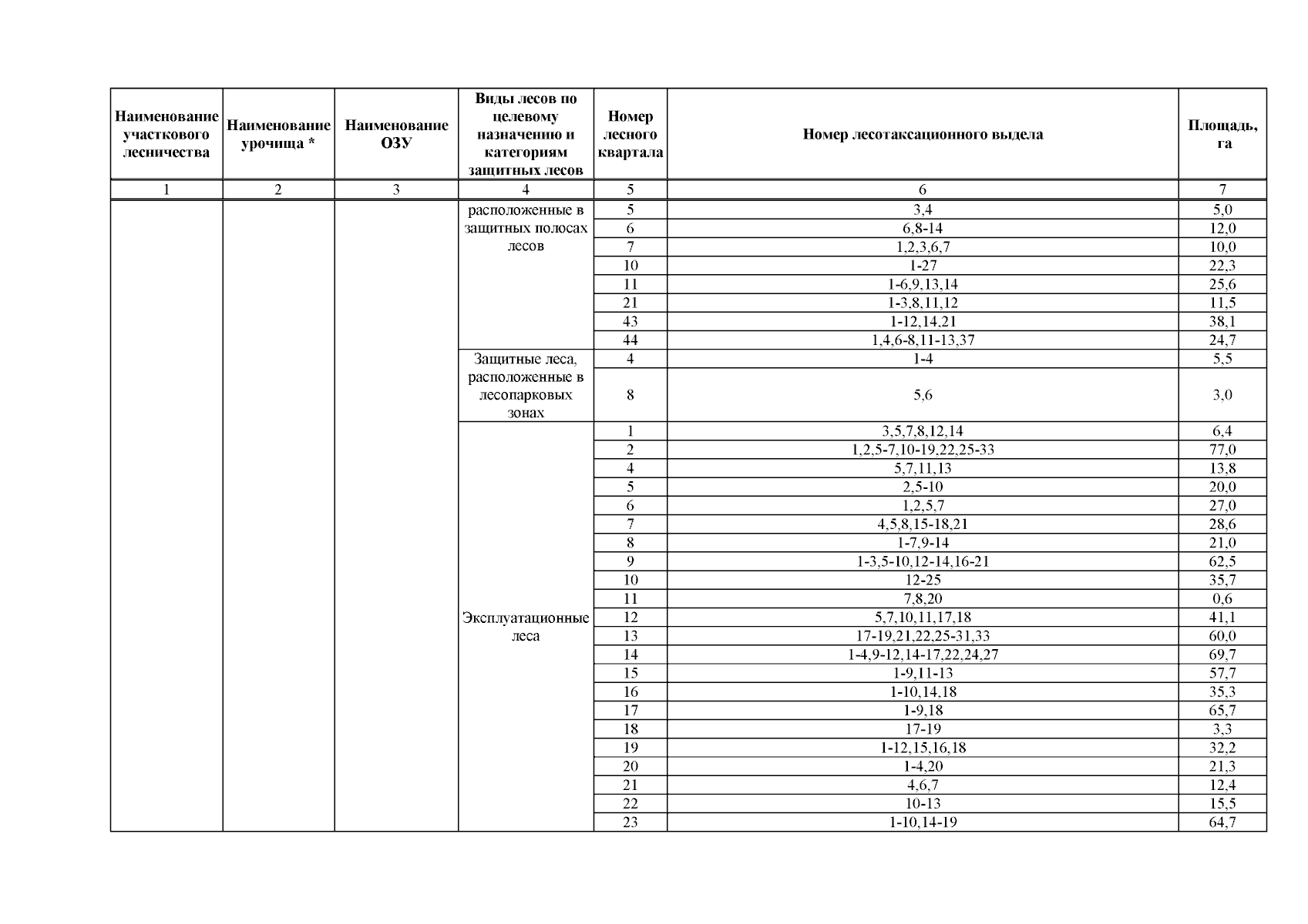
Приказ Министерства лесного хозяйства Владимирской области от 19.12.2025 № 26-н
"О внесении изменений в приложение № 8 к постановлению департамента от 22.08.2018 № 9"
(Зарегистрирован 19.12.2025 № МЛХ2025-026)
Номер опубликования: 3301202512230003
Дата опубликования: 23.12.2025
Страница №184 из 264:
Увеличить