Официальное опубликование правовых актов
ОФИЦИАЛЬНОЕ ОПУБЛИКОВАНИЕ
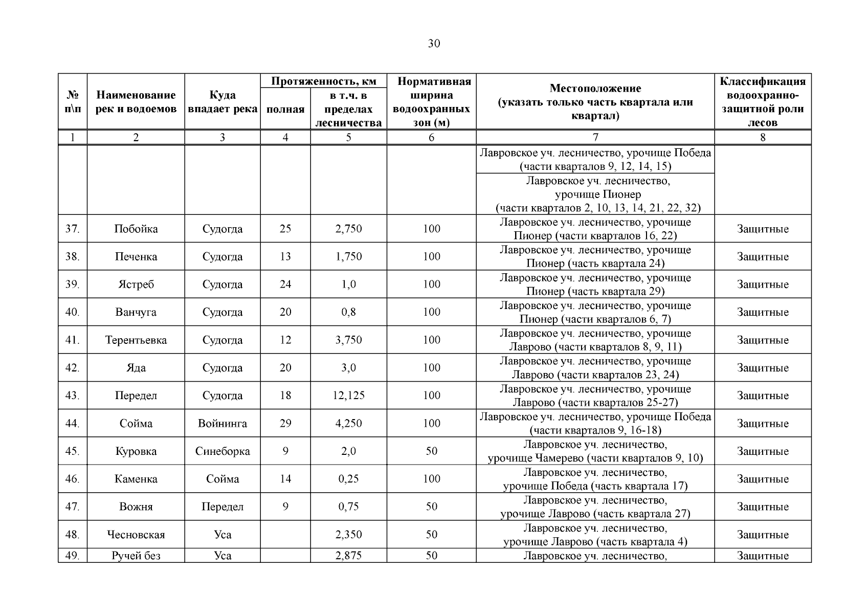
Приказ Министерства лесного хозяйства Владимирской области от 18.12.2025 № 24-н
"О внесении изменений в приложение № 2 к постановлению департамента от 22.08.2018 № 9"
(Зарегистрирован 18.12.2025 № МЛХ2025-024)
Номер опубликования: 3301202512190031
Дата опубликования: 19.12.2025
Страница №32 из 276:
Увеличить