Официальное опубликование правовых актов
ОФИЦИАЛЬНОЕ ОПУБЛИКОВАНИЕ
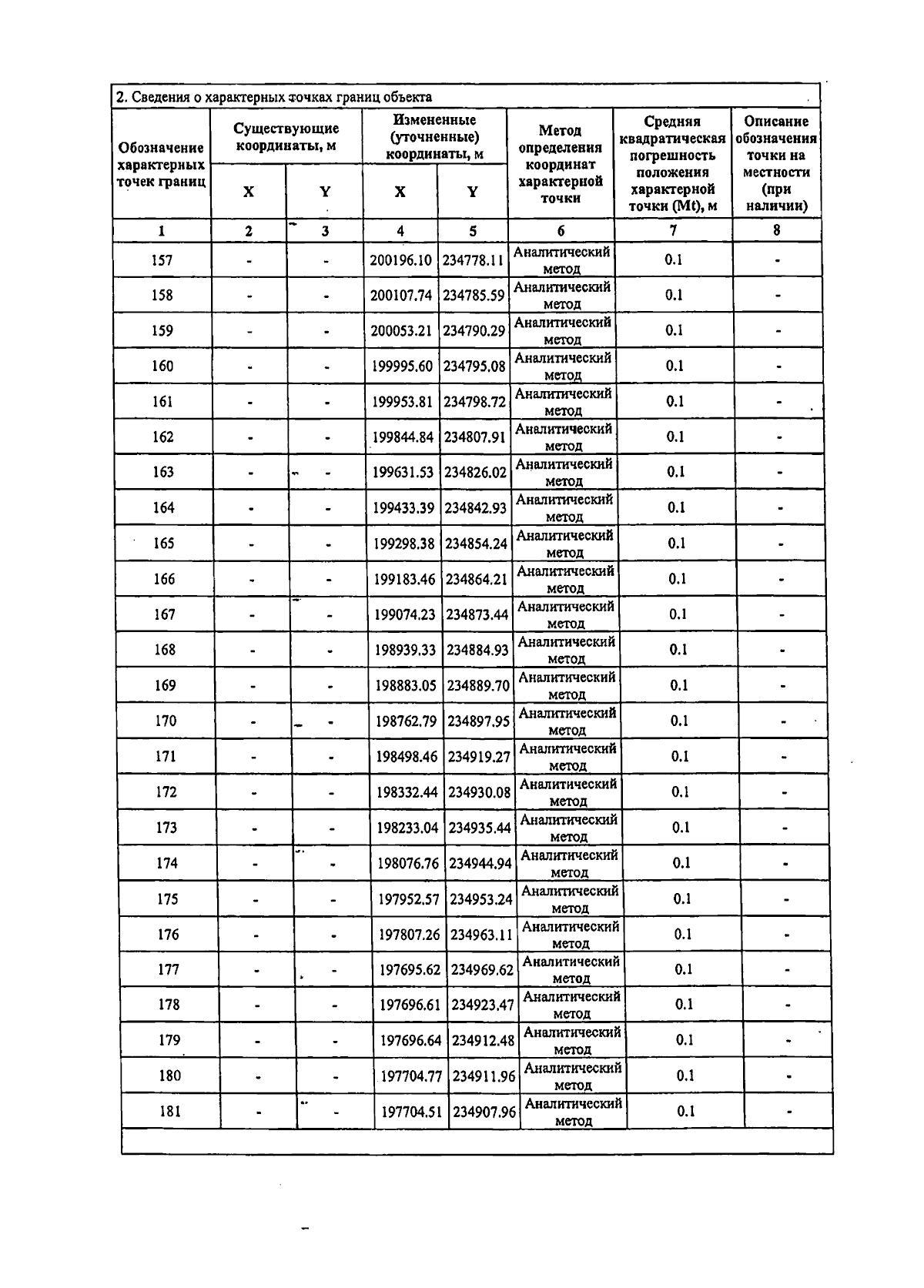
Приказ Министерства жилищно-коммунального хозяйства Владимирской области от 08.10.2025 № 82-н
"Об изменении границы охранной зоны газораспределительной сети"
(Зарегистрирован 08.10.2025 № МЖКХ2025-082)
Номер опубликования: 3301202510100001
Дата опубликования: 10.10.2025
Страница №47 из 56:
Увеличить