Официальное опубликование правовых актов
ОФИЦИАЛЬНОЕ ОПУБЛИКОВАНИЕ
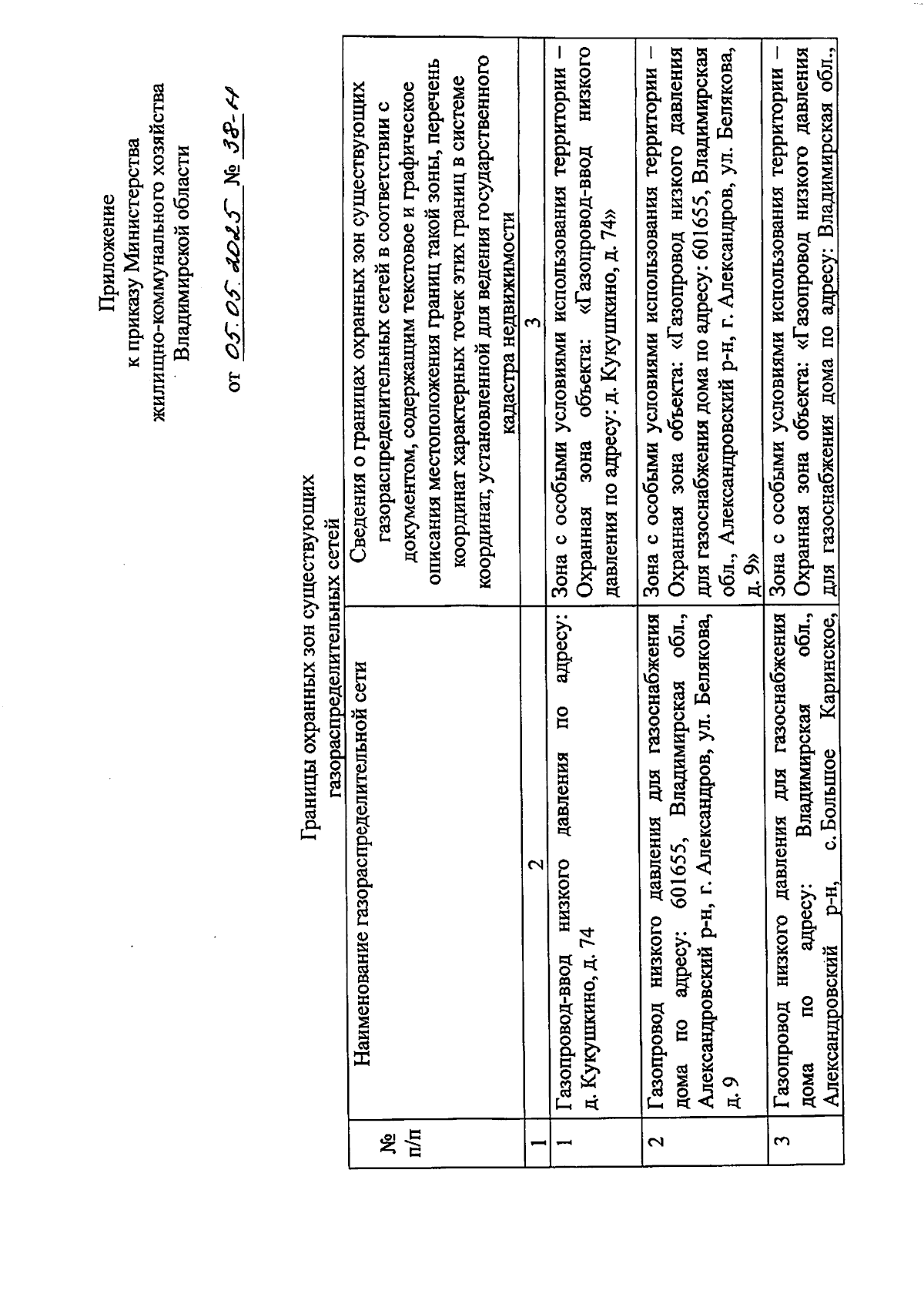
Приказ Министерства жилищно-коммунального хозяйства Владимирской области от 05.05.2025 № 38-н
"Об утверждении границ охранных зон газораспределительных сетей"
(Зарегистрирован 05.05.2025 № МЖКХ2025-038)
Номер опубликования: 3301202505070005
Дата опубликования: 07.05.2025
Страница №2 из 7:
Увеличить