Официальное опубликование правовых актов
ОФИЦИАЛЬНОЕ ОПУБЛИКОВАНИЕ
Приказ Министерства природопользования и экологии Владимирской области от 04.03.2025 № 12-н
"Об установлении зон санитарной охраны источников хозяйственно-питьевого и технического водоснабжения ООО "Кольчугинский завод железобетонных изделий"
(Зарегистрирован 04.03.2025 № МПЭ2025-012)
Номер опубликования: 3301202503050001
Дата опубликования: 05.03.2025
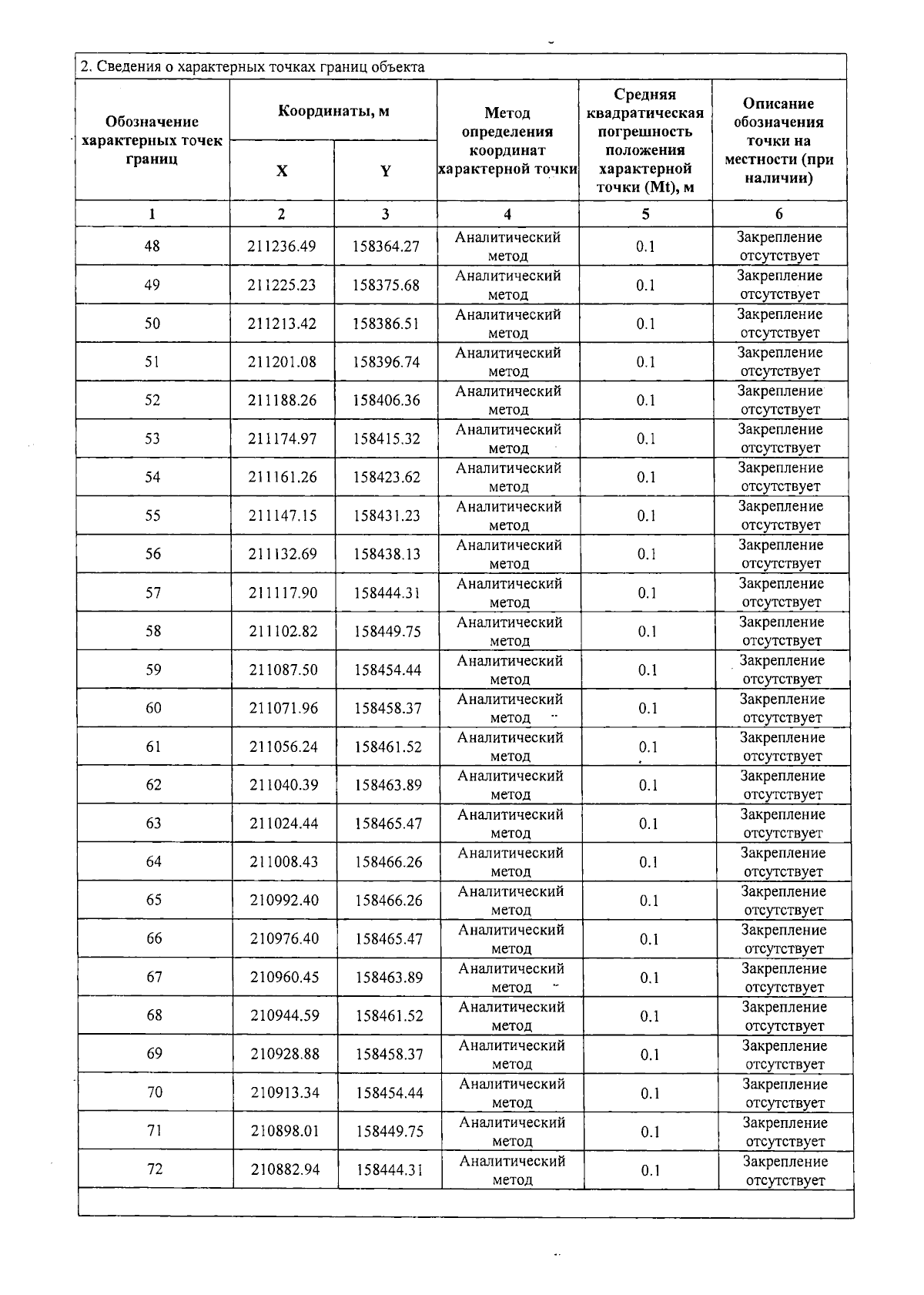
Страница №17 из 24:
Увеличить