Официальное опубликование правовых актов
ОФИЦИАЛЬНОЕ ОПУБЛИКОВАНИЕ
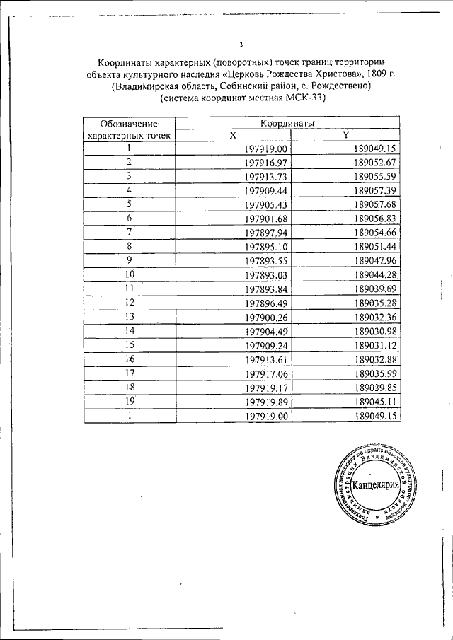
Постановление Инспекции по охране объектов культурного наследия Владимирской области от 13.11.2018 № 54
"Об утверждении границ и режима использования территории объекта культурного наследия регионального значения "Церковь Рождества Христова", 1809 г. (Владимирская область, Собинский район, с. Рождествено)"
Номер опубликования: 3301201811140001
Дата опубликования: 14.11.2018
Страница №4 из 6:
Увеличить