Официальное опубликование правовых актов
ОФИЦИАЛЬНОЕ ОПУБЛИКОВАНИЕ
Постановление Департамента строительства и архитектуры администрации Владимирской области от 06.04.2018 № 30
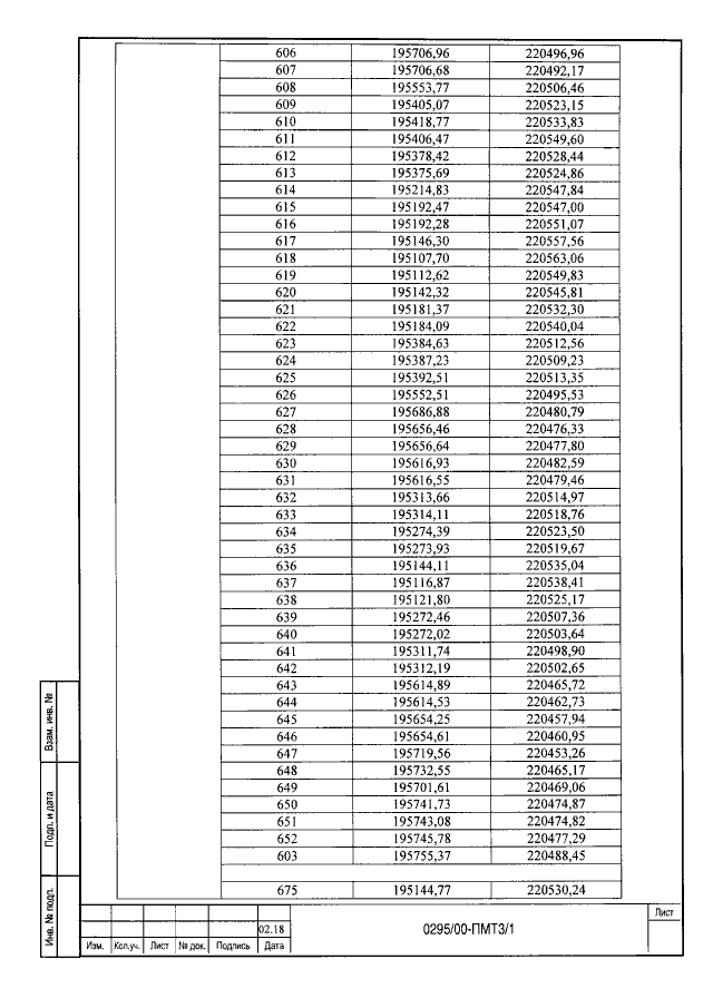
"Об утверждении документации по планировке территории, предусматривающей реконструкцию линейного объекта энергетики "Комплексное техническое перевооружение и реконструкция ПС 220 кВ Районная (г.Владимир). Корректировка проектной документации"
Номер опубликования: 3301201804110001
Дата опубликования: 11.04.2018
Страница №239 из 271:
Увеличить