Официальное опубликование правовых актов
ОФИЦИАЛЬНОЕ ОПУБЛИКОВАНИЕ
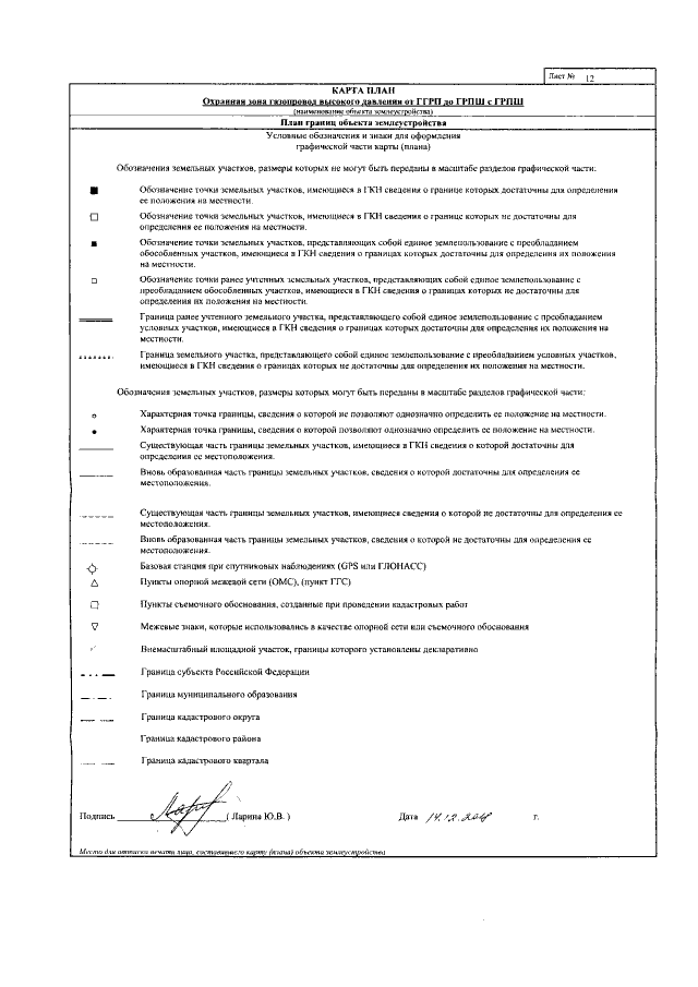
Постановление администрации Владимирской области от 21.01.2019 № 25
"Об утверждении границ охранных зон газораспределительных сетей"
Номер опубликования: 3300201901230003
Дата опубликования: 23.01.2019
Страница №432 из 1534:
Увеличить