Официальное опубликование правовых актов
ОФИЦИАЛЬНОЕ ОПУБЛИКОВАНИЕ
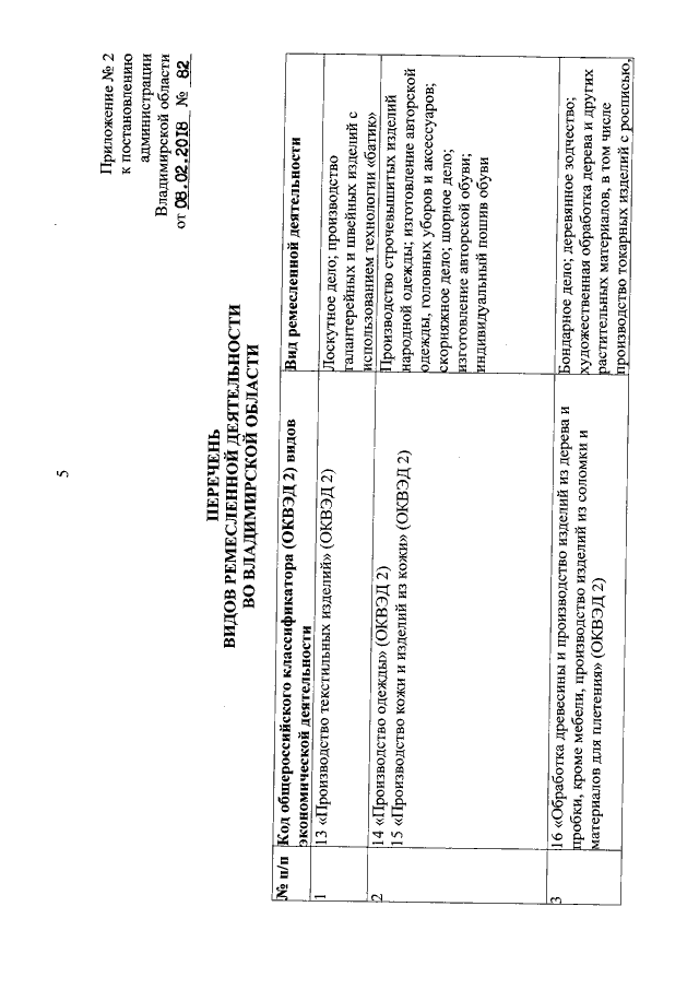
Постановление администрации Владимирской области от 08.02.2018 № 82
"Об утверждении порядка создания и ведения Реестра субъектов народных художественных промыслов и субъектов ремесленной деятельности и Перечня видов ремесленной деятельности во Владимирской области"
Номер опубликования: 3300201802120001
Дата опубликования: 12.02.2018
Страница №6 из 9:
Увеличить