Официальное опубликование правовых актов
ОФИЦИАЛЬНОЕ ОПУБЛИКОВАНИЕ
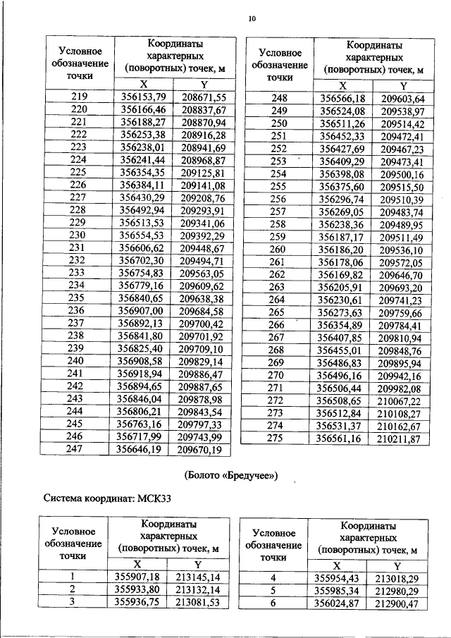
Постановление администрации Владимирской области от 10.05.2017 № 400
"О реорганизации отдельных памятников природы регионального значения"
Номер опубликования: 3300201705110003
Дата опубликования: 11.05.2017
Страница №12 из 168:
Увеличить