Официальное опубликование правовых актов
ОФИЦИАЛЬНОЕ ОПУБЛИКОВАНИЕ
Постановление администрации Владимирской области от 21.12.2015 № 1264
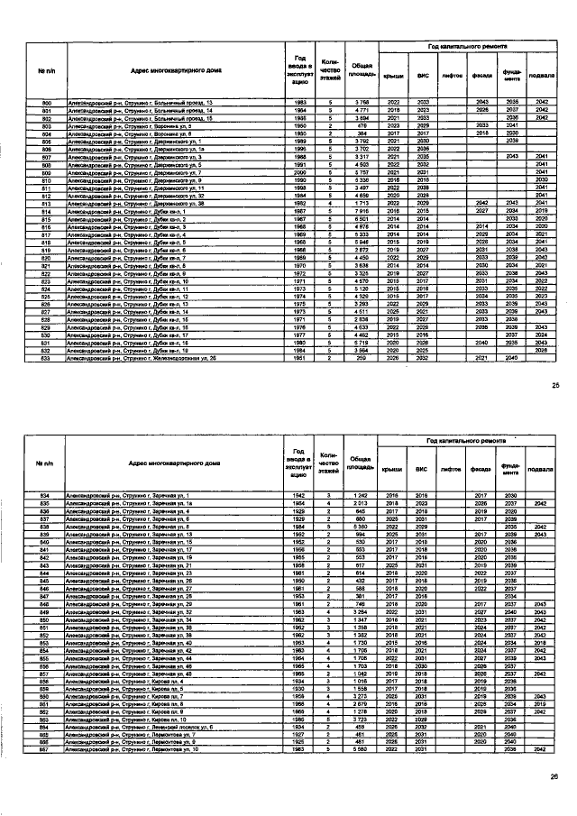
"О внесении изменений в постановление Губернатора области от 30.12.2013 № 1502"Об утверждении региональной программы капитального ремонта на период с 2014 по 2043 годы"
Номер опубликования: 3300201512250002
Дата опубликования: 25.12.2015
Страница №27 из 184:
Увеличить