Официальное опубликование правовых актов
ОФИЦИАЛЬНОЕ ОПУБЛИКОВАНИЕ
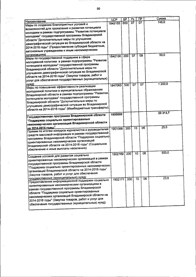
Закон Владимирской области от 29.09.2015 № 106-ОЗ
"О внесении изменений в Закон Владимирской области "Об областном бюджете на 2015 год и на плановый период 2016 и 2017 годов"
Номер опубликования: 3300201509290016
Дата опубликования: 29.09.2015
Страница №269 из 317:
Увеличить