Официальное опубликование правовых актов
ОФИЦИАЛЬНОЕ ОПУБЛИКОВАНИЕ
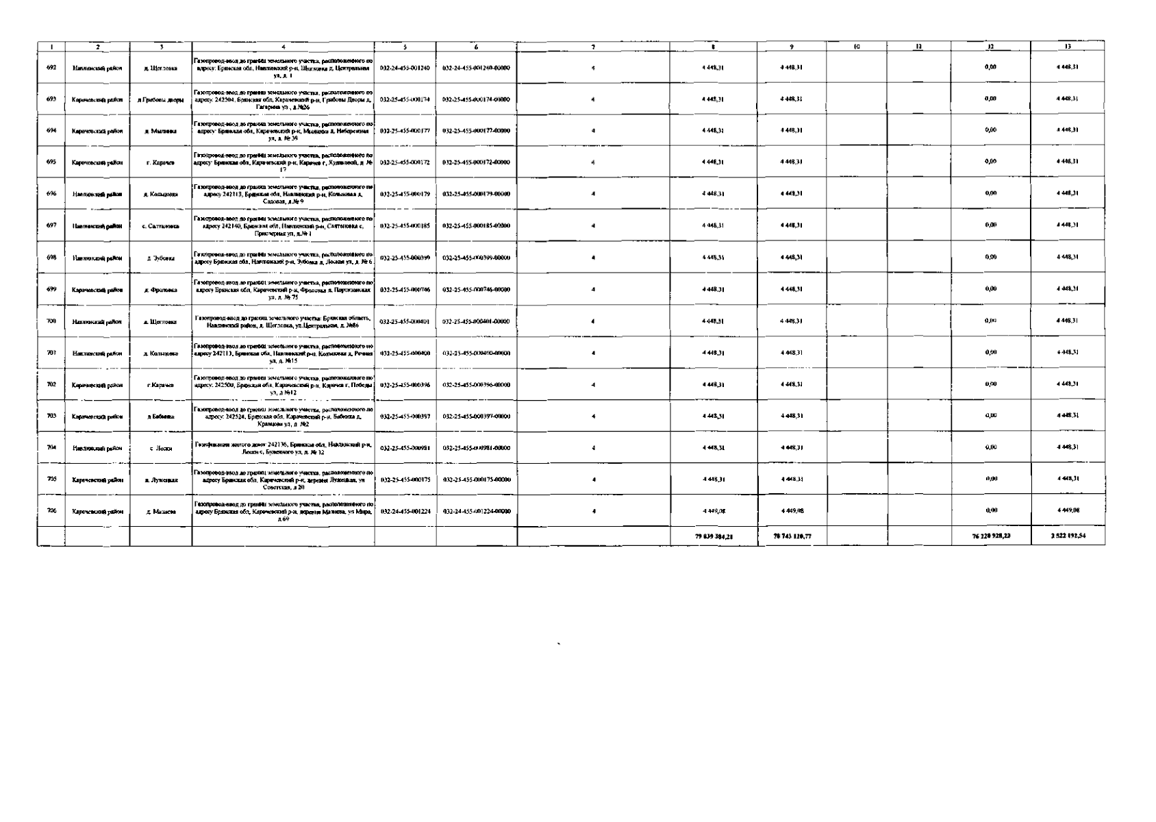
Приказ Управления государственного регулирования тарифов Брянской области от 19.02.2026 № 4/1-г
"Об установлении размера экономически обоснованных расходов на выполнение мероприятий по технологическому присоединению в рамках догазификации за IV квартал 2025 года"
(Зарегистрирован 24.02.2026 № 20260006024)
Номер опубликования: 3201202603020002
Дата опубликования: 02.03.2026
Страница №33 из 33:
Увеличить