Официальное опубликование правовых актов
ОФИЦИАЛЬНОЕ ОПУБЛИКОВАНИЕ
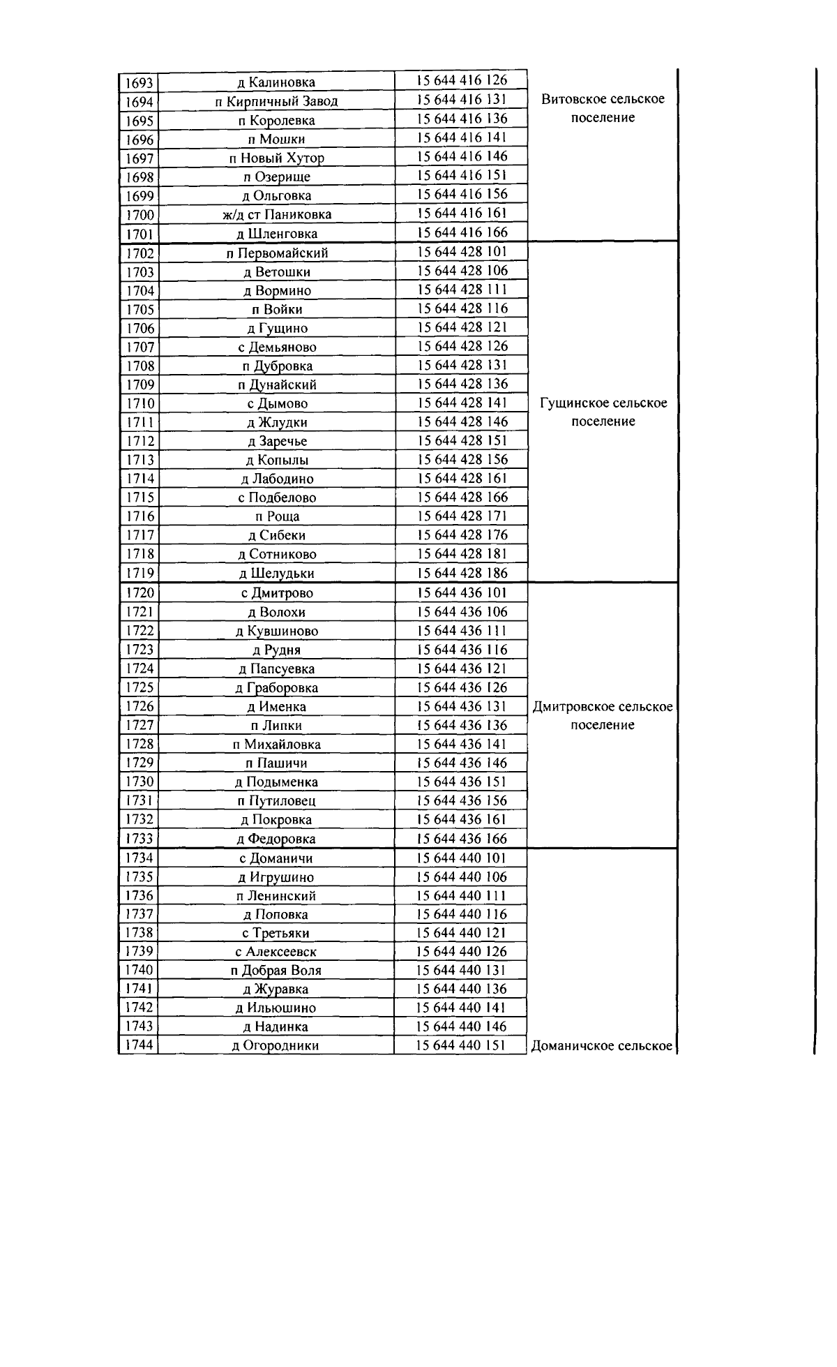
Приказ Департамента сельского хозяйства Брянской области от 10.12.2025 № 379
"Об утверждении перечня сельских территорий Брянской области"
(Зарегистрирован 12.12.2025 № 20250112003)
Номер опубликования: 3201202512180008
Дата опубликования: 18.12.2025
Страница №35 из 52:
Увеличить