Официальное опубликование правовых актов
ОФИЦИАЛЬНОЕ ОПУБЛИКОВАНИЕ
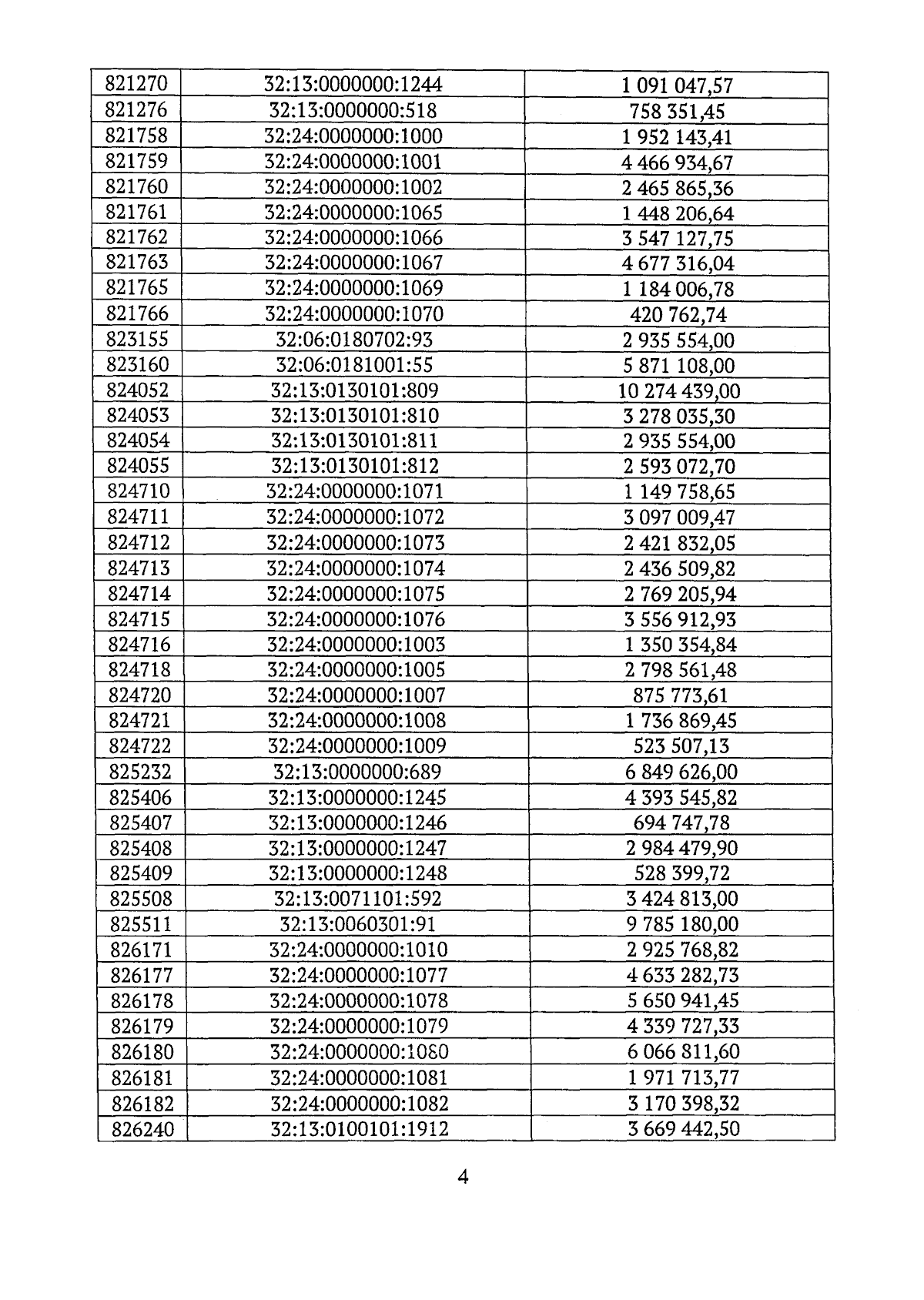
Приказ Управления имущественных отношений Брянской области от 24.11.2025 № 1712
"О внесении изменений в приказ от 01.11.2023 № 1789 "Об утверждении результатов определения кадастровой стоимости на территории Брянской области"
(Зарегистрирован 26.11.2025 № 20250073019)
Номер опубликования: 3201202512020005
Дата опубликования: 02.12.2025
Страница №4 из 7:
Увеличить