Приказ Управления имущественных отношений Брянской области от 14.12.2018 № 1597
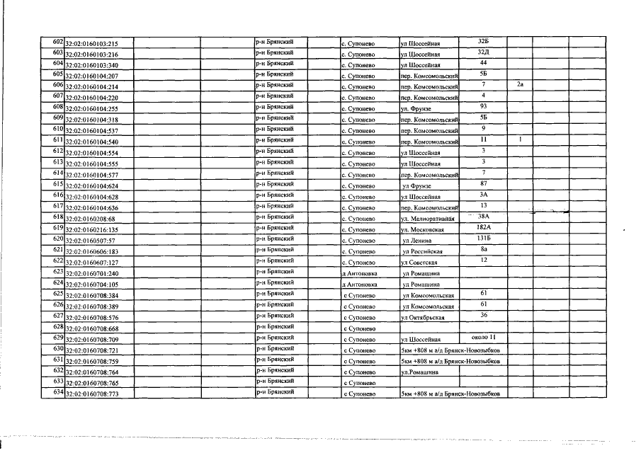
"О внесении изменений в приказ от 27.11.2017 №1312 "Об определении Перечня объектов недвижимого имущества, расположенных на территории Брянского района Брянской области, в отношении которых в 2018 году налоговая база определяется как их кадастровая стоимость"
"О внесении изменений в приказ от 27.11.2017 №1312 "Об определении Перечня объектов недвижимого имущества, расположенных на территории Брянского района Брянской области, в отношении которых в 2018 году налоговая база определяется как их кадастровая стоимость"
Номер опубликования: 3201201812190010
Дата опубликования:
19.12.2018
