Официальное опубликование правовых актов
ОФИЦИАЛЬНОЕ ОПУБЛИКОВАНИЕ
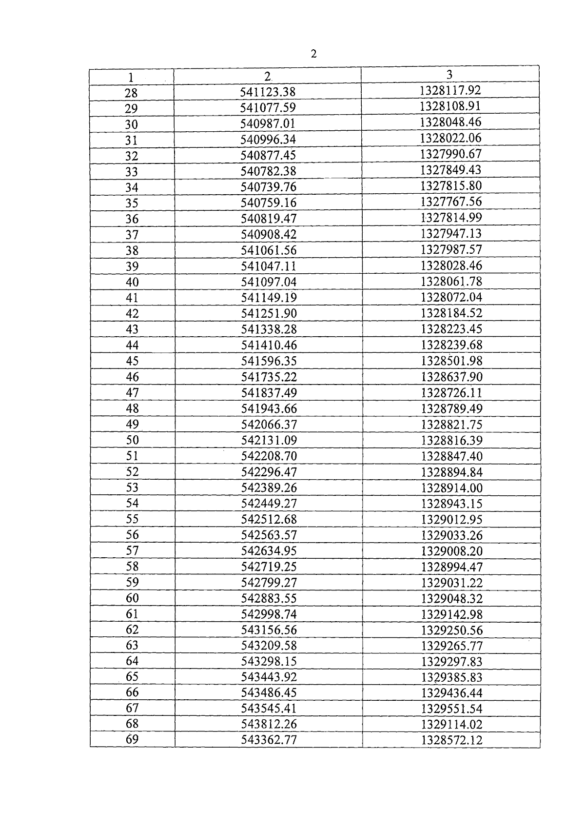
Указ Губернатора Брянской области от 18.02.2026 № 14
"Об установлении охранных зон памятников природы регионального значения, расположенных в Рогнединском районе Брянской области, утверждении их положений и границ"
Номер опубликования: 3200202602250005
Дата опубликования: 25.02.2026
Страница №9 из 44:
Увеличить