Официальное опубликование правовых актов
ОФИЦИАЛЬНОЕ ОПУБЛИКОВАНИЕ
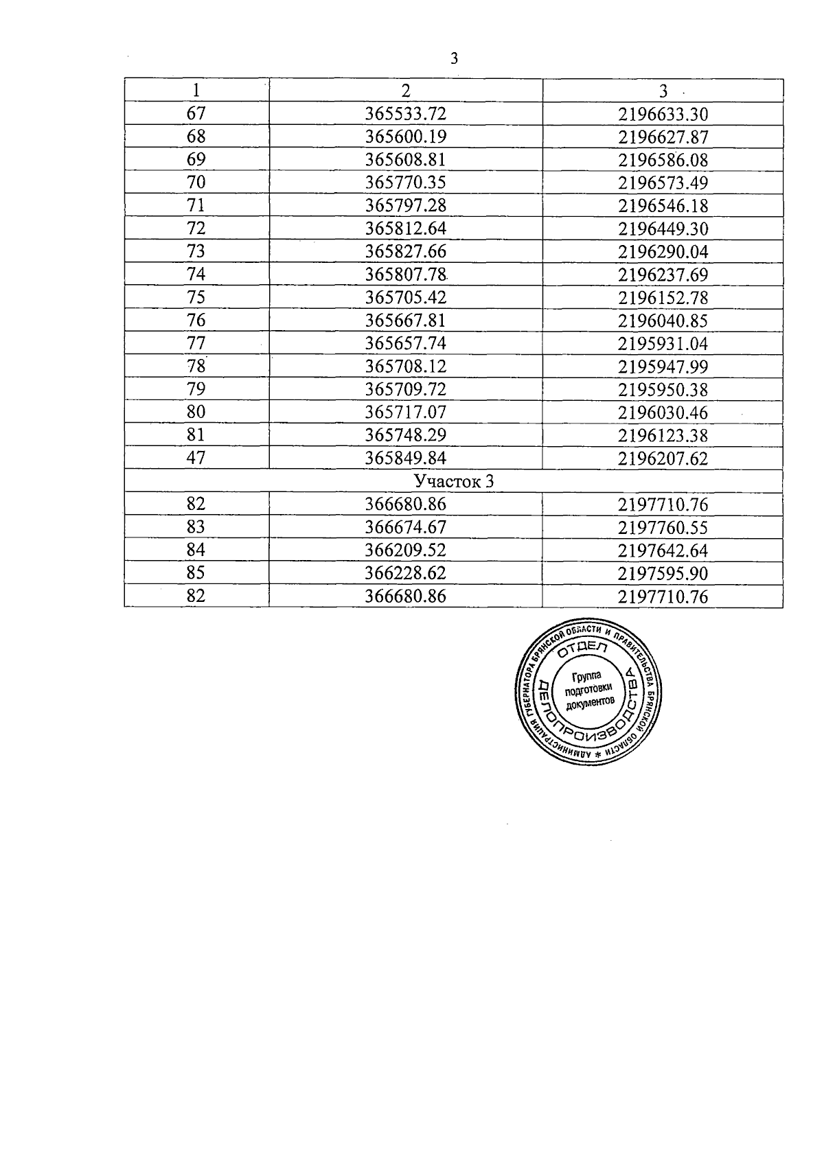
Указ Губернатора Брянской области от 18.02.2026 № 15
"Об установлении охранных зон памятников природы регионального значения, расположенных в Севском районе Брянской области, утверждении их положений и границ"
Номер опубликования: 3200202602250001
Дата опубликования: 25.02.2026
Страница №46 из 56:
Увеличить