Официальное опубликование правовых актов
ОФИЦИАЛЬНОЕ ОПУБЛИКОВАНИЕ
Указ Губернатора Брянской области от 03.10.2025 № 114
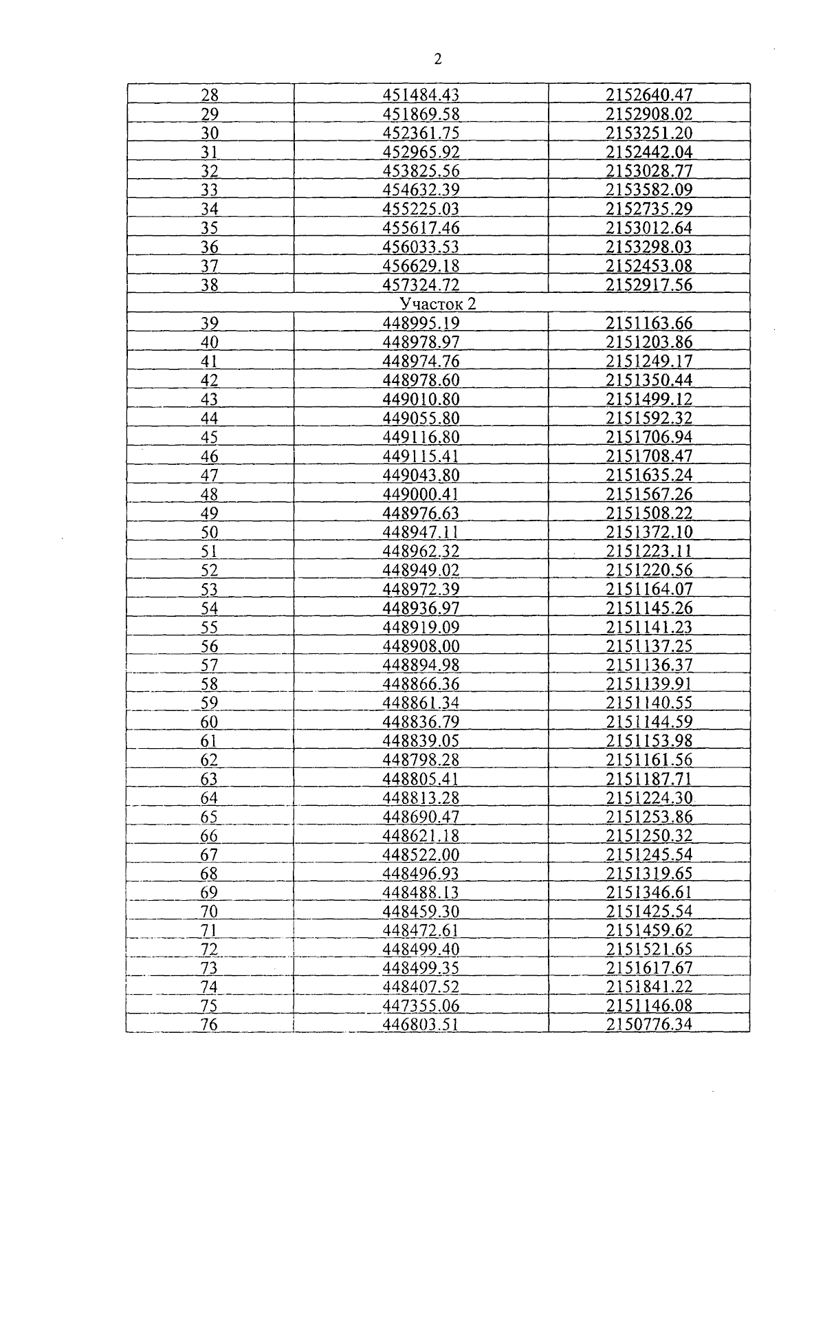
"О внесении изменений в указ Губернатора Брянской области от 12 февраля 2024 года № 17 "Об установлении охранных зон памятников природы регионального значения, расположенных в Навлинском районе Брянской области, утверждении их положений и границ"
Номер опубликования: 3200202510060005
Дата опубликования: 06.10.2025
Страница №5 из 7:
Увеличить