Официальное опубликование правовых актов
ОФИЦИАЛЬНОЕ ОПУБЛИКОВАНИЕ
Приказ Управления по государственному регулированию цен и тарифов в Белгородской области от 20.12.2023 № 37/15
"Об утверждении производственной программы АО СЗ "КМАПЖС" в сфере холодного водоснабжения и водоотведения, реализуемой на территории Староосколького городского округа Белгородской области, с 1 января 2024 года по 31 декабря 2028 года"
(Зарегистрирован 22.12.2023 № 1295)
Номер опубликования: 3101202312250043
Дата опубликования: 25.12.2023
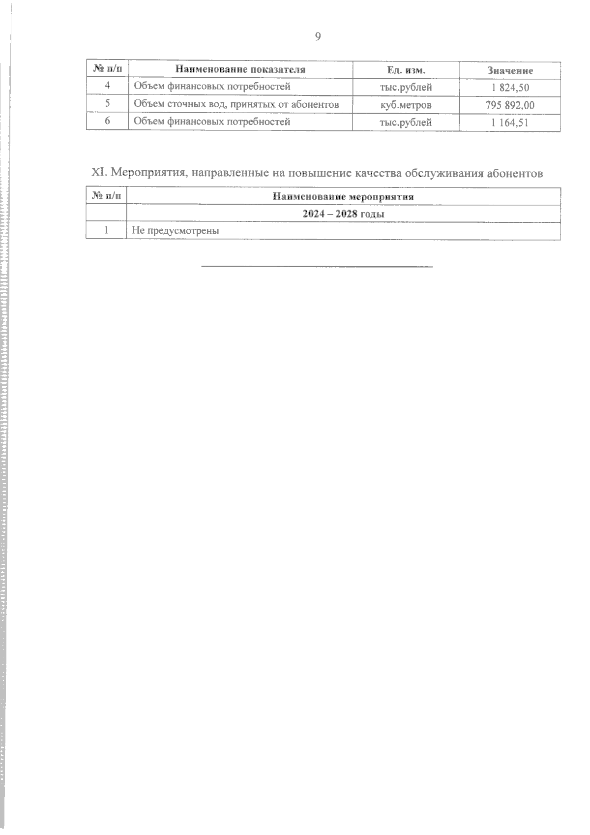
Страница №9 из 9:
Увеличить