Официальное опубликование правовых актов
ОФИЦИАЛЬНОЕ ОПУБЛИКОВАНИЕ
Постановление Правительства Белгородской области от 15.12.2025 № 608-пп
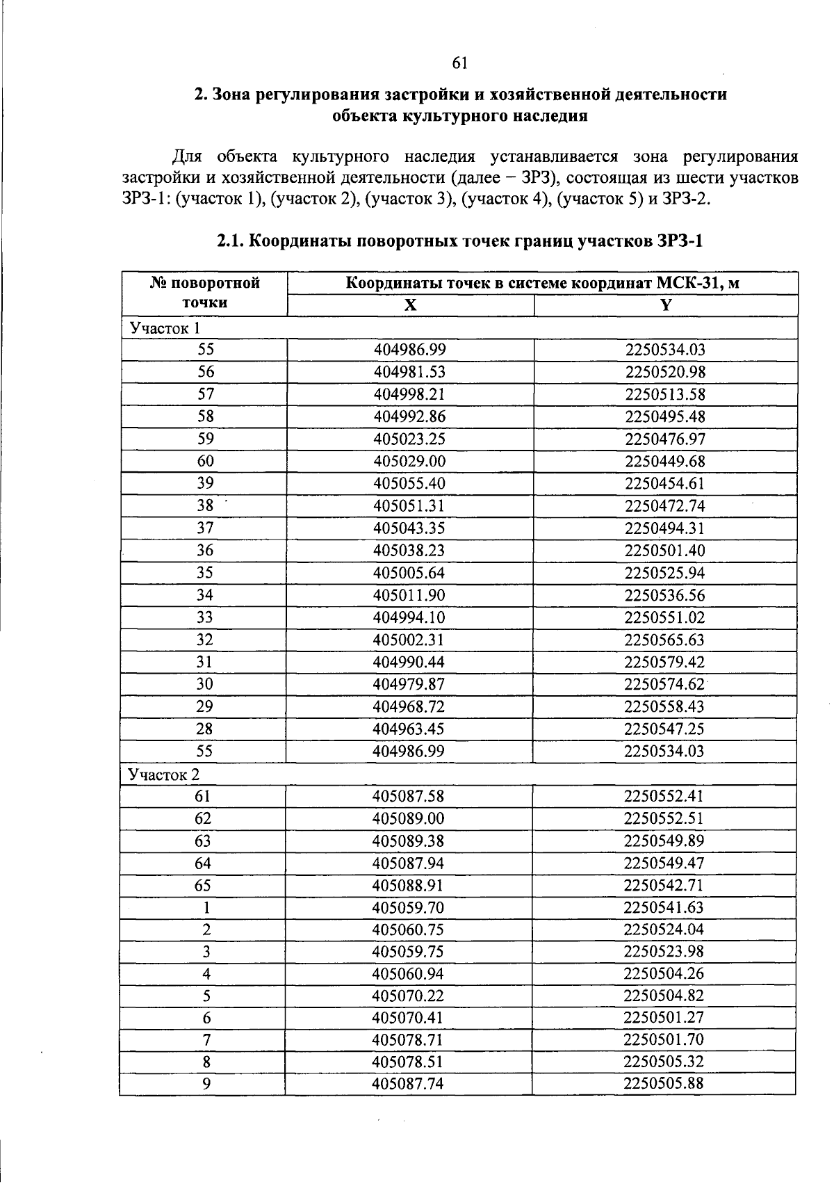
"Об утверждении границ зон охраны, режимов использования земель и требований к градостроительным регламентам в границах зон охраны объектов культурного наследия (памятников истории и культуры), расположенных на территории Красногвардейского муниципального округа Белгородской области"
Номер опубликования: 3100202512170013
Дата опубликования: 17.12.2025
Страница №61 из 177:
Увеличить