Официальное опубликование правовых актов
ОФИЦИАЛЬНОЕ ОПУБЛИКОВАНИЕ
Постановление Правительства Белгородской области от 20.05.2024 № 212-пп
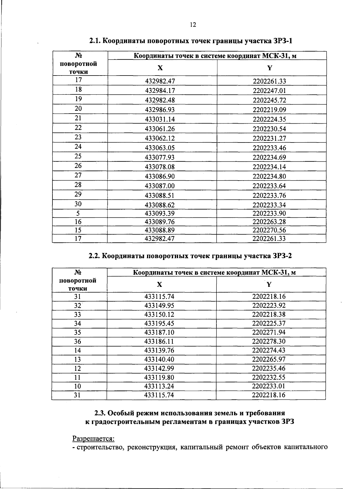
"Об утверждении границ зон охраны, режимов использования земель и требований к градостроительным регламентам в границах зон охраны объектов культурного наследия (памятников истории и культуры), расположенных на территории Чернянского района"
Номер опубликования: 3100202405240006
Дата опубликования: 24.05.2024
Страница №12 из 22:
Увеличить