Официальное опубликование правовых актов
ОФИЦИАЛЬНОЕ ОПУБЛИКОВАНИЕ
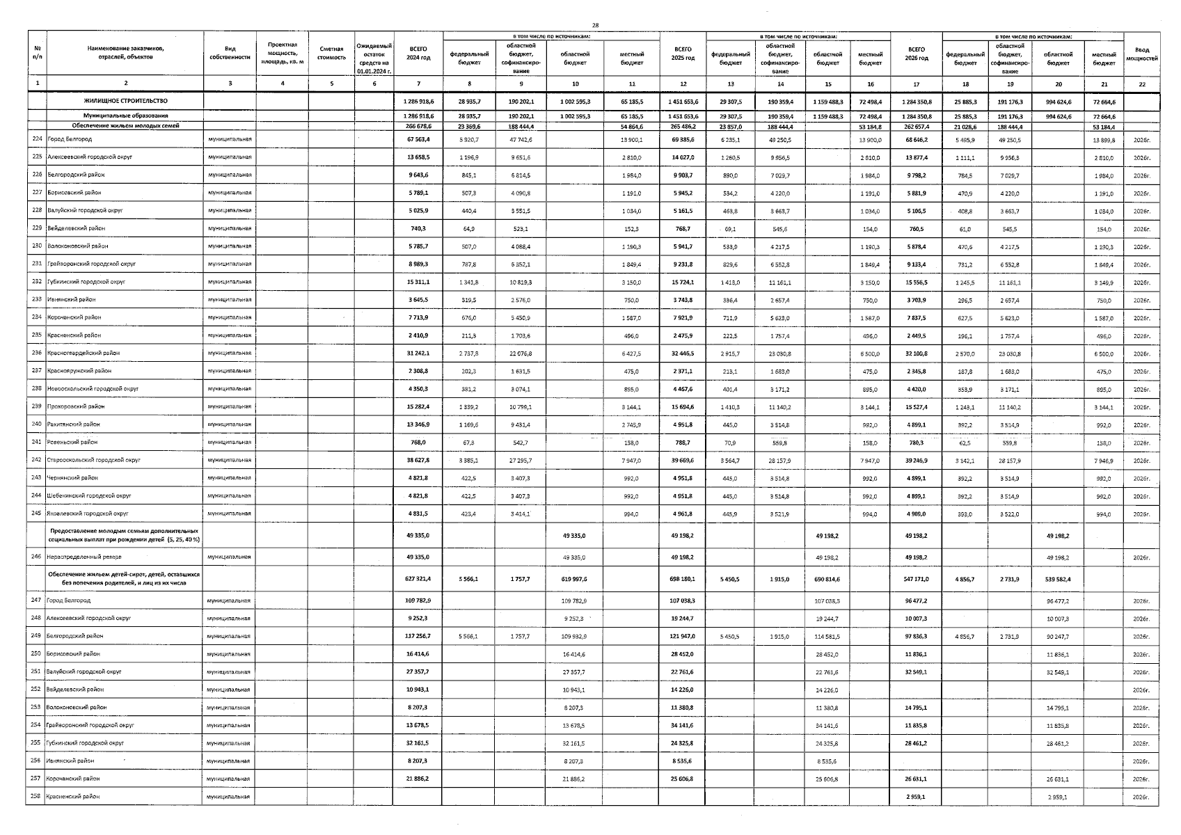
Постановление Правительства Белгородской области от 25.12.2023 № 790-пп
"Об утверждении пообъектного перечня строительства, реконструкции и капитального ремонта объектов социальной сферы и развития жилищно-коммунальной инфраструктуры Белгородской области на 2024 – 2026 годы"
Номер опубликования: 3100202312300013
Дата опубликования: 30.12.2023
Страница №28 из 40:
Увеличить