Официальное опубликование правовых актов
ОФИЦИАЛЬНОЕ ОПУБЛИКОВАНИЕ
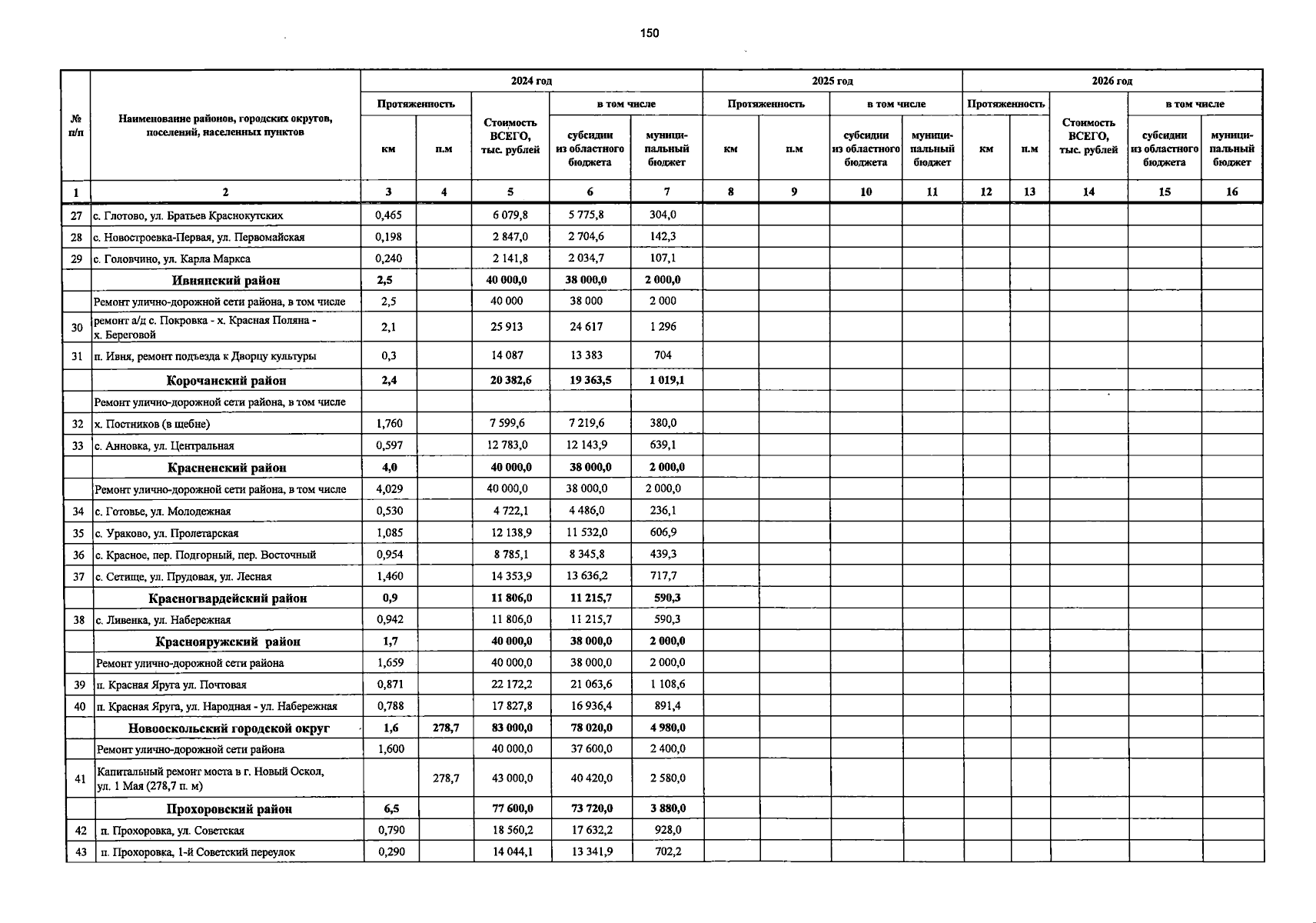
Постановление Правительства Белгородской области от 18.12.2023 № 730-пп
"Об утверждении государственной программы Белгородской области "Совершенствование и развитие транспортной системы и дорожной сети Белгородской области"
Номер опубликования: 3100202312250003
Дата опубликования: 25.12.2023
Страница №150 из 167:
Увеличить