Официальное опубликование правовых актов
ОФИЦИАЛЬНОЕ ОПУБЛИКОВАНИЕ
Постановление Правительства Белгородской области от 18.12.2023 № 716-пп
"О внесении изменений в постановление Правительства Белгородской области от 19 августа 2013 года № 345-пп"
Номер опубликования: 3100202312210005
Дата опубликования: 21.12.2023
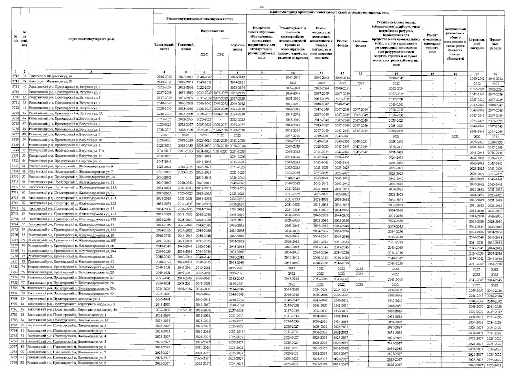
Страница №138 из 167:
Увеличить