Официальное опубликование правовых актов
ОФИЦИАЛЬНОЕ ОПУБЛИКОВАНИЕ
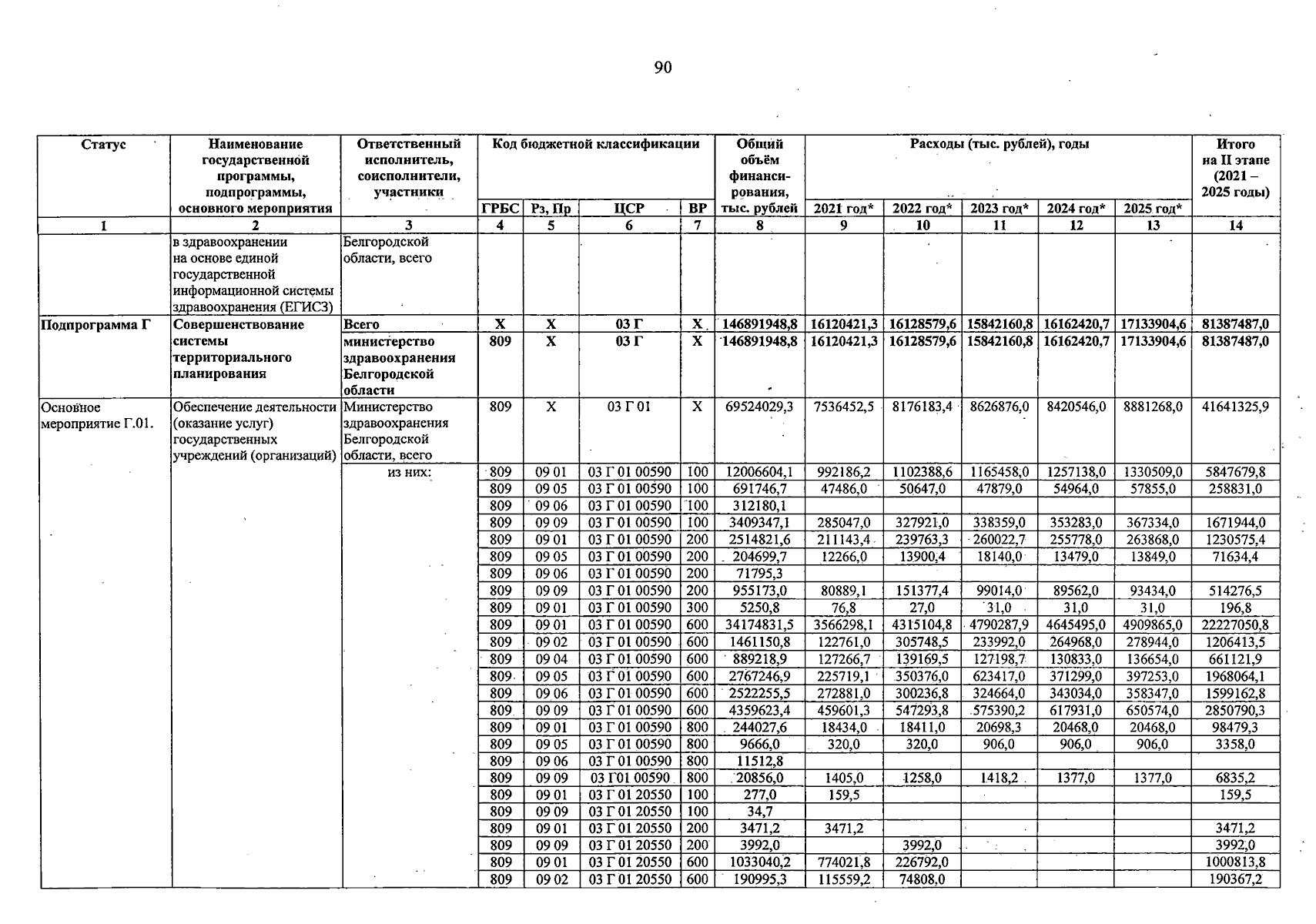
Постановление Правительства Белгородской области от 18.09.2023 № 533-пп
"О внесении изменений в постановление Правительства Белгородской области от 16 декабря 2013 года № 524-пп"
Номер опубликования: 3100202309250005
Дата опубликования: 25.09.2023
Страница №90 из 96:
Увеличить