Официальное опубликование правовых актов
ОФИЦИАЛЬНОЕ ОПУБЛИКОВАНИЕ
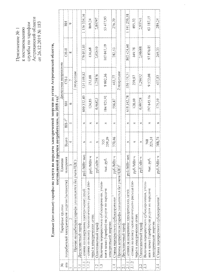
Постановление Службы по тарифам Астраханской области от 26.12.2019 № 183
"О внесении изменений в постановление службы по тарифам Астраханской области от 28.12.2017 №216"
Номер опубликования: 3001201912300011
Дата опубликования: 30.12.2019
Страница №3 из 27:
Увеличить