Официальное опубликование правовых актов
ОФИЦИАЛЬНОЕ ОПУБЛИКОВАНИЕ
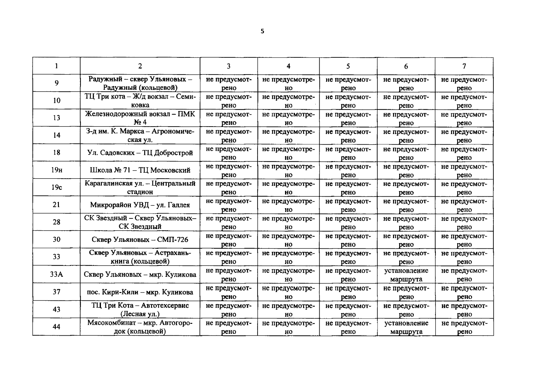
Постановление Правительства Астраханской области от 27.02.2026 № 58-П
"О документе планирования регулярных перевозок на территории муниципального образования "Городской округ город Астрахань" на 2026–2030 годы"
Номер опубликования: 3000202603020010
Дата опубликования: 02.03.2026
Страница №7 из 139:
Увеличить