Официальное опубликование правовых актов
ОФИЦИАЛЬНОЕ ОПУБЛИКОВАНИЕ
Распоряжение Правительства Астраханской области от 13.02.2026 № 48-Пр
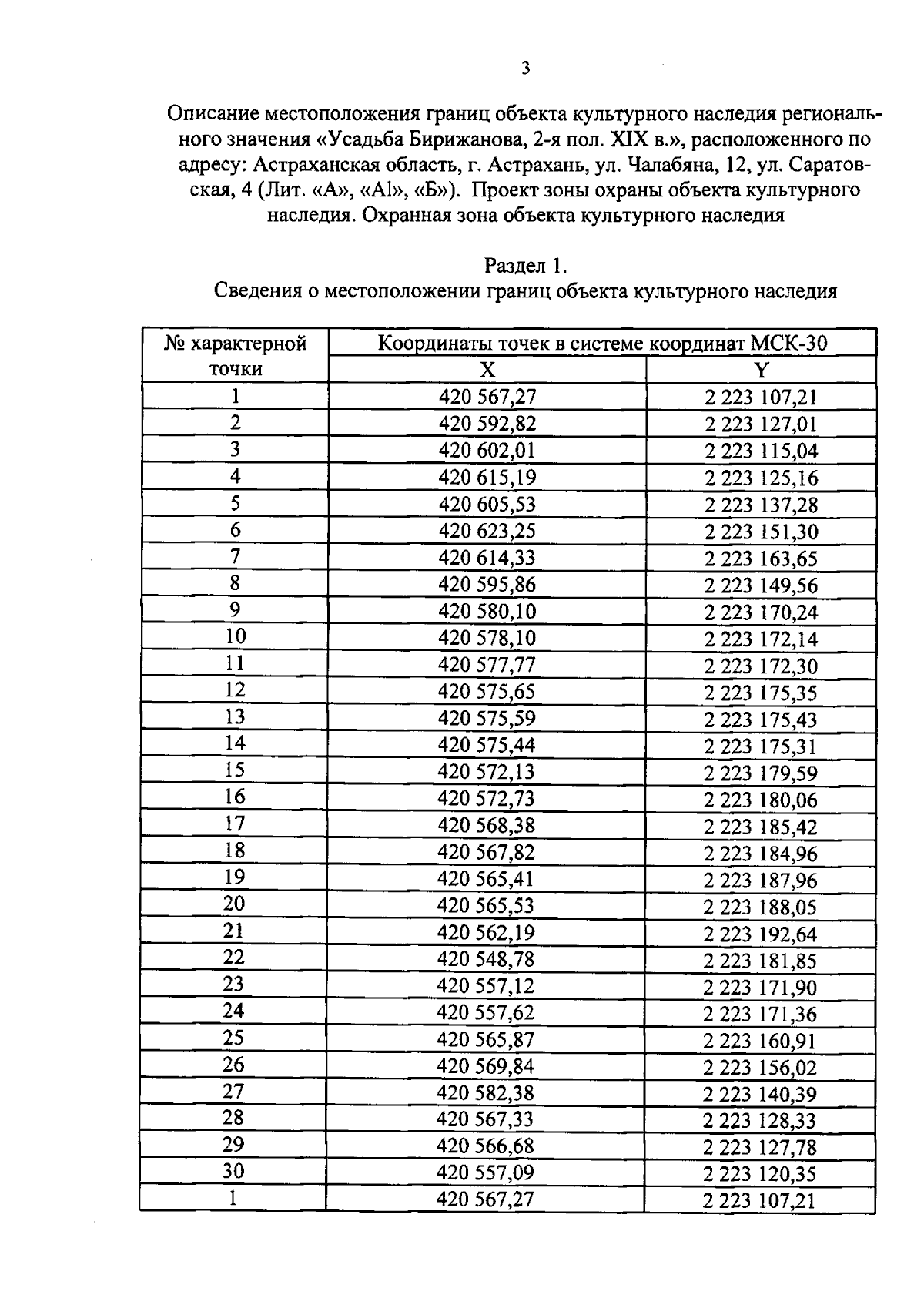
"Об установлении зоны охраны объекта культурного наследия регионального значения "Усадьба Бирижанова, 2-я пол. XIX в.", расположенного по адресу: Астраханская область, г. Астрахань, ул. Чалабяна, 12, ул. Саратовская, 4 (Лит. "А", "Al", "Б"), и утверждении требований к градостроительным регламентам в границах данной зоны"
Номер опубликования: 3000202602170009
Дата опубликования: 17.02.2026
Страница №5 из 9:
Увеличить