Официальное опубликование правовых актов
ОФИЦИАЛЬНОЕ ОПУБЛИКОВАНИЕ
Постановление Правительства Астраханской области от 31.10.2025 № 691-П
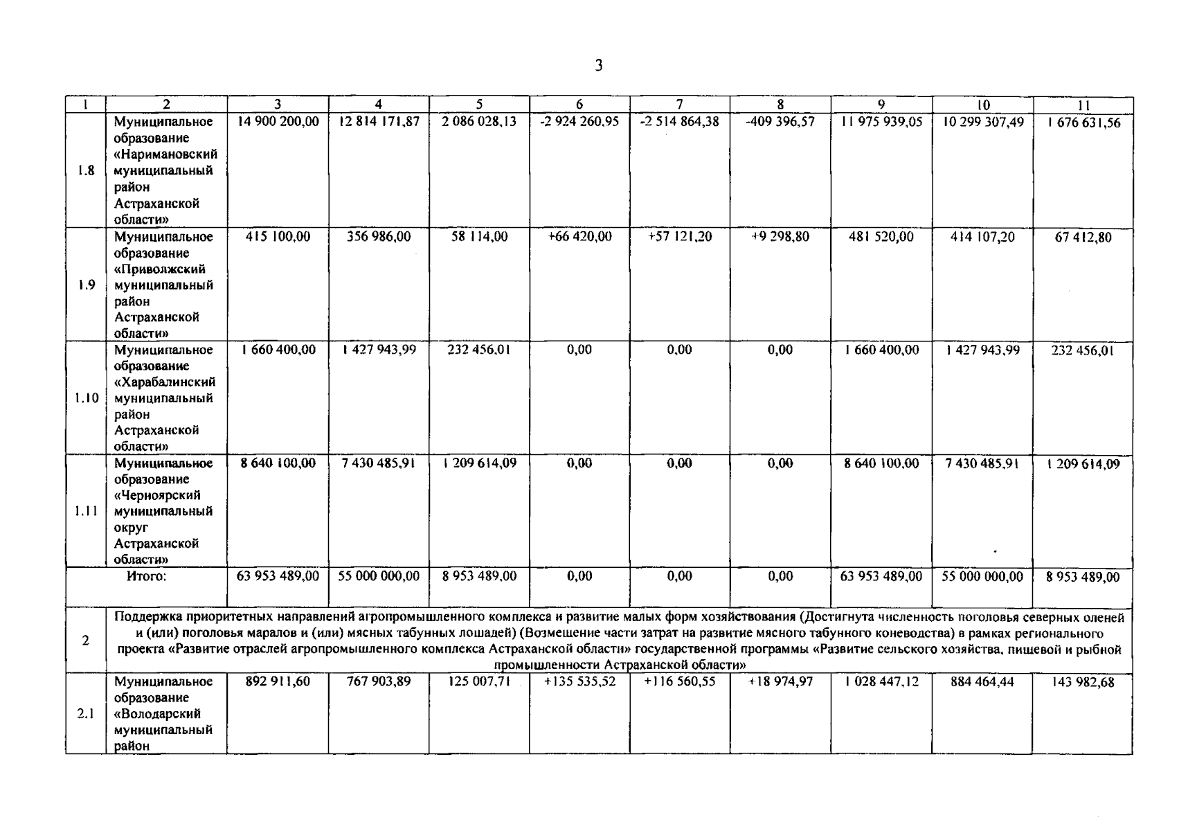
"О перераспределении в 2025 году субвенции, предоставляемой местным бюджетам для осуществления органами местного самоуправления отдельных государственных полномочий по предоставлению субсидий на поддержку приоритетных направлений агропромышленного комплекса и развитие малых форм хозяйствования, за исключением средств на осуществление органами местного самоуправления управленческих функций при осуществлении данных полномочий"
Номер опубликования: 3000202511010014
Дата опубликования: 01.11.2025
Страница №4 из 8:
Увеличить