Официальное опубликование правовых актов
ОФИЦИАЛЬНОЕ ОПУБЛИКОВАНИЕ
Постановление Министерства имущественных отношений Архангельской области от 17.04.2026 № 14-п
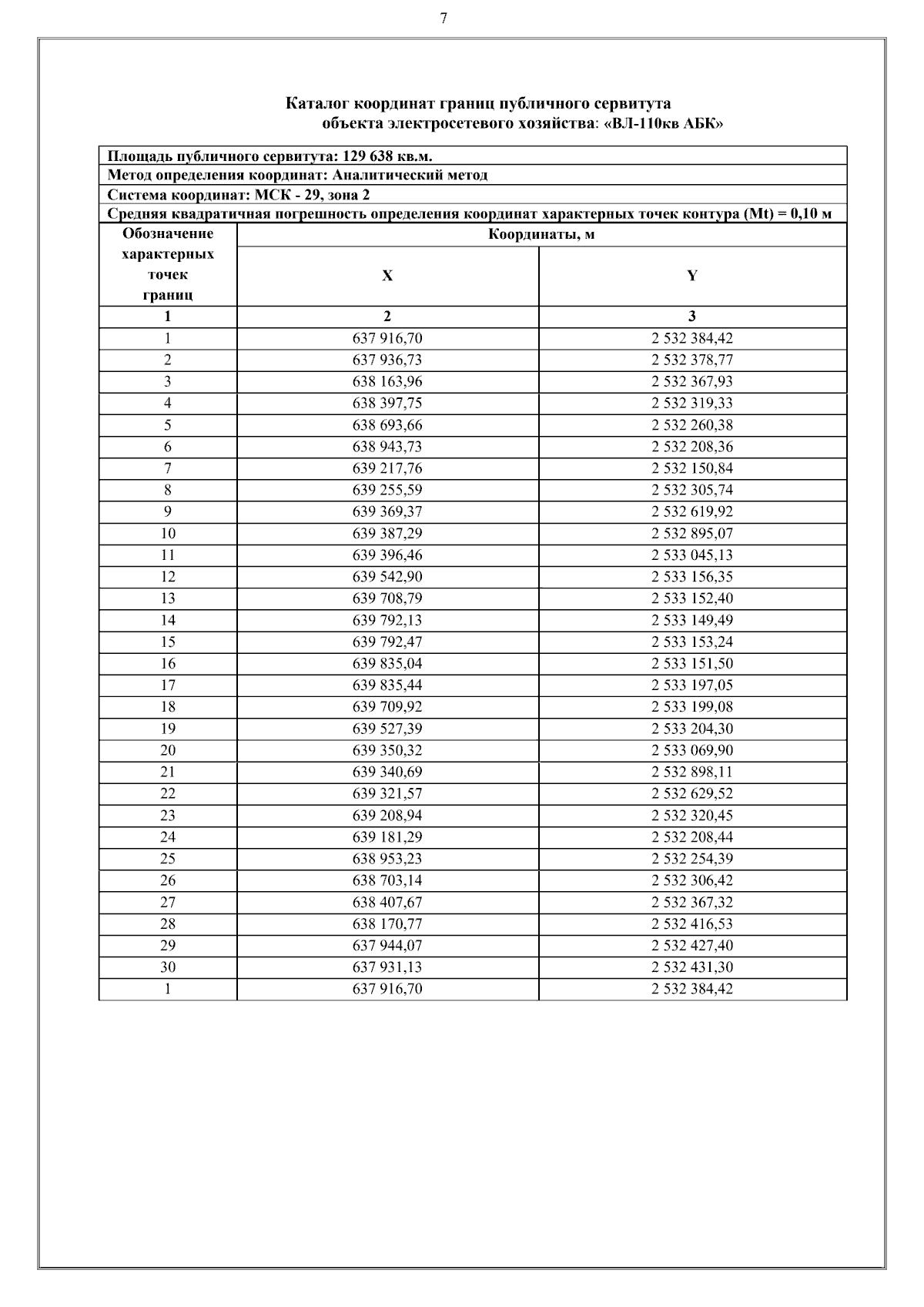
"Об установлении публичного сервитута для эксплуатации объекта электросетевого хозяйства регионального значения "ВЛ-110 кВ АБК"
(Зарегистрирован 20.04.2026 № 29-2026-312/260)
Номер опубликования: 2901202604210002
Дата опубликования: 21.04.2026
Страница №12 из 12:
Увеличить