Официальное опубликование правовых актов
ОФИЦИАЛЬНОЕ ОПУБЛИКОВАНИЕ
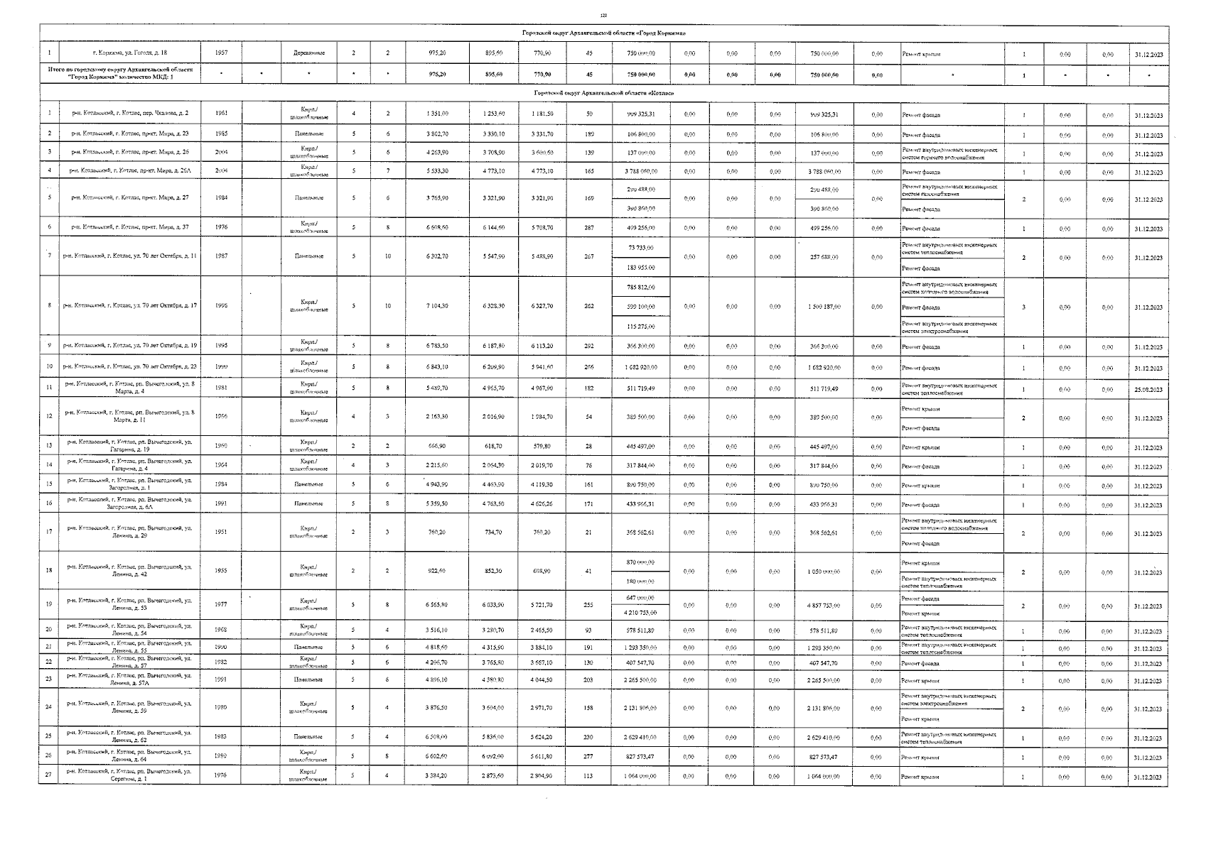
Постановление Министерства топливно-энергетического комплекса и жилищно-коммунального хозяйства Архангельской области от 06.03.2026 № 21-п
"О внесении изменений в краткосрочный план реализации региональной программы капитального ремонта общего имущества в многоквартирных домах, расположенных на территории Архангельской области, на 2023 – 2025 годы"
(Зарегистрирован 10.03.2026 № 29-2026-203/147)
Номер опубликования: 2901202603100003
Дата опубликования: 10.03.2026
Страница №123 из 153:
Увеличить