Официальное опубликование правовых актов
ОФИЦИАЛЬНОЕ ОПУБЛИКОВАНИЕ
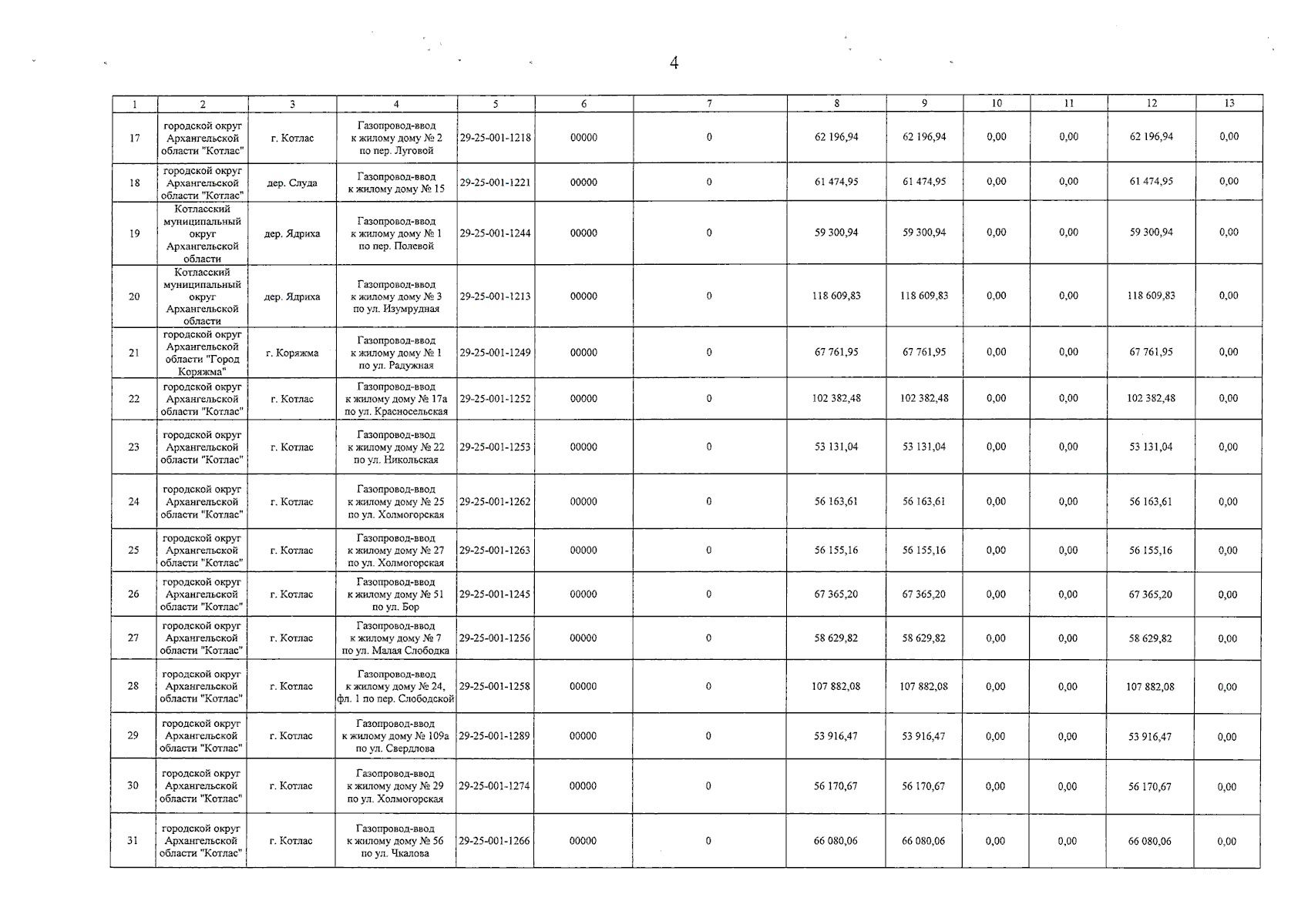
Постановление агентства по тарифам и ценам Архангельской области от 26.02.2026 № 7-п/1
"Об утверждении размера экономически обоснованных расходов ООО "Котласгазсервис" на выполнение мероприятий по технологическому присоединению в рамках мероприятий по догазификации за 4 квартал 2025 года"
(Зарегистрирован 03.03.2026 № 29-2026-313/132)
Номер опубликования: 2901202603030002
Дата опубликования: 03.03.2026
Страница №6 из 11:
Увеличить